Avaliação Físico-Química e Microbiológica de Garrafadas Comerciais de Plantas Medicinais em Feiras Livres de Redenção–Ceará-Brasil
Physical-Chemical and Microbiological Alliance of Commercial Bottles of Medicinal Plants in Street Markets of Redenção–Ceará-Brasil
Bárbara Elen Santos Stedile1, Antonia Franciany Araujo Coelho1, Luciana de Siqueira Oliveira2, Luanne Eugênia Nunes1, Maria do Socorro Moura Rufino1
1Universidade da Integração Internacional da Lusofonia Afro-Brasileira (UNILAB), Redenção, CE, Brasil
2Universidade Federal do Ceará (UFC), Fortaleza, CE, Brasil
Recebido em: 26 de Maio de 2025; Aceito em: 30 de Maio de 2025
Correspondência: Antonia Franciany Araujo Coelho, francianycoelho@gmail.com
Como citar
Stedile BES, Coelho AFA, Oliveira LS, Nunes LE, Rufino MSM. Avaliação Físico-Química e Microbiológica de Garrafadas Comerciais de Plantas Medicinais em Feiras Livres de Redenção–Ceará-Brasil. Nutr Bras. 2025;24(2):1380-1393 doi:10.62827/nb.v24i2.3059
Introdução: O uso de plantas medicinais na medicina popular tem se destacado como alternativa para melhorar a saúde, com destaque para as garrafadas, produzidas e comercializadas por raizeiros em feiras livres, sem fiscalização da ANVISA, pois não são consideradas medicamentos. Objetivo: Identificou-se as plantas medicinais usadas em garrafadas comercializadas em feiras no município de Redenção no estado do Ceará e avaliou-se sua qualidade físico-química, química e funcional. Métodos: Realizou-se uma pesquisa exploratória e descritiva com abordagem quantitativa, focando nas espécies de plantas utilizadas. Quatro garrafadas (G1, G2, G3 e G4) foram adquiridas em feiras locais. As análises laboratoriais ocorreram nos laboratórios de Bioquímica e Análise de Alimentos da UFC, avaliando pH, teor alcoólico, polifenóis, atividade antioxidante e análise microbiológica. Resultados: O pH das garrafadas foi aceitável para o uso diário. O álcool presente pode alterar os parâmetros bioquímicos. G1, G2 e G4 apresentaram menores níveis de polifenóis e antioxidantes, enquanto G3 teve resultados superiores. Todas as amostras apresentaram boa capacidade antioxidante, com destaque para G3. Na análise microbiológica, apenas uma amostra teve crescimento bacteriano. Conclusão: Apesar dos resultados satisfatórios, a falta de estudos sobre as ervas usadas nas feiras evidencia a necessidade de mais pesquisas para beneficiar a população que utiliza essas garrafadas para saúde e bem-estar.
Palavras-chave: Medicina Popular; Plantas Medicinais; Usos Terapêuticos.
Introduction: The use of medicinal plants in folk medicine has been highlighted as an alternative to improve health, with emphasis on the botanicals produced and sold by herbalists in street markets, without ANVISA inspection, as they are not considered medicines. Objective: Identify the medicinal plants used in bottles sold at fairs in the municipality of Redenção in the state of Ceará and evaluate their physical-chemical, chemical and functional quality. Methods: An exploratory and descriptive research was carried out with a quantitative approach, focusing on the plant species used. Four botanicals (G1, G2, G3 and G4) were purchased at local markets. Laboratory analyses were carried out in the Biochemistry and Food Analysis laboratories of UFC, evaluating pH, alcohol content, polyphenols, antioxidant activity and microbiological analysis. Results: The pH of the botanicals was acceptable for daily use. The alcohol present can alter the biochemical parameters. G1, G2 and G4 showed lower levels of polyphenols and antioxidants, while G3 had superior results. All samples showed good antioxidant capacity, with emphasis on G3. In the microbiological analysis, only one sample showed bacterial growth. Conclusion: Despite the satisfactory results, the lack of studies on the herbs used in the fairs highlights the need for more research to benefit the population that uses these bottles for health and well-being.
Keywords: Medicine; Medicinal Plants; Therapeutic Uses.
As plantas medicinais são utilizadas há séculos como alternativa terapêutica para o tratamento de diversas enfermidades [1,2]. A medicina popular, ao longo da história, tem sido um pilar essencial na busca por soluções naturais para a promoção da saúde, permitindo que comunidades utilizem recursos disponíveis na natureza para produzir remédios caseiros [1,3]. Entre essas práticas, destaca-se a produção de garrafadas, que consiste na maceração de uma combinação de ervas medicinais em líquidos, geralmente alcoólicos para extrair seus princípios ativos [4].
A comercialização de garrafadas em feiras livres, especialmente por raizeiros, é uma prática comum em diversas regiões do Brasil, incluindo o município de Redenção-CE [5,6]. No entanto, essas preparações não são regulamentadas pela Agência Nacional de Vigilância Sanitária (ANVISA), o que levanta preocupações quanto à segurança do consumo desses produtos [4].
Diante desse cenário a avaliação das garrafadas medicinais comercializadas na região, fornecera informações científicas sobre a composição e segurança desses produtos, possibilitando estratégias para a orientação e capacitação dos produtores [7,8]. Dessa forma, sensibilizar sobre os impactos na saúde pública e estimular a discussão sobre a necessidade de regulamentação e padronização desses produtos, garantindo maior segurança para os consumidores [9].
A utilização de plantas medicinais está intrinsecamente ligada ao conhecimento tradicional, passado de geração em geração, e ao contexto sociocultural das comunidades que fazem uso desses recursos [10,11]. Muitas das plantas empregadas na fabricação das garrafadas possuem propriedades terapêuticas comprovadas, sendo amplamente utilizadas na fitoterapia, no entanto, a eficácia desses preparados pode ser comprometida devido à falta de padronização nas concentrações dos compostos bioativos [5].
As plantas medicinais desempenham um papel fundamental na saúde humana, sendo amplamente utilizadas tanto na medicina tradicional quanto na moderna [11,12]. Diversos compostos bioativos presentes em ervas e especiarias possuem propriedades terapêuticas, como ação antioxidante, anti-inflamatória, antimicrobiana e infecções respiratórias [1].
Identificou-se as plantas medicinais usadas em garrafadas comercializadas em feiras no município de Redenção no estado do Ceará e avaliou-se sua qualidade físico-química, química e funcional.
Coleta do material
No município de Redenção-CE, em feiras livres, foi realizada a coleta de quatro garrafadas a base de plantas medicinais, selecionadas com base no critério de fins terapêuticos diversos à saúde.
As garrafas foram identificadas através de seus rótulos de origem e renomeadas com as siglas:
G1 - composição unha de gato e hortelã;
G2 - composição malvarisco;
G3 – composição romã e cajueiro;
G4 – composição chanana.
Em seguida, foi construída uma tabela com a identificação contendo o nome científico, nome popular, as partes de uso de cada espécie de planta, verificando se a finalidade de cada uma delas corresponde com a patologia descrita nos rótulos das garrafadas que foram analisadas, estabelecendo dessa forma, um perfil de utilização das mesmas e refletindo/discutindo a literatura vigente sobre o impacto destas na saúde.
Análises Laboratoriais
As análises físico-químicas e químicas foram realizadas nos laboratórios de Bioquímica da Unilab e no de Frutos Tropicais do Departamento de Engenharia de Alimentos da UFC, conforme descritas a seguir:
Análise da Acidez Total Titulável
A determinação da Acidez Total Titulável foi conforme o Manual de Metodologias de Análise de Alimentos (2023), onde foram preparadas soluções de fenolftaleína a 1% (1,0 g em 100 mL de álcool etílico P.A.) e de NaOH 0,1 mol/L (4,00 g de NaOH em 1 L de água destilada) [13]. A solução de NaOH foi padronizada com biftalato de potássio seco. Amostras (0,6 g) foram tituladas com NaOH na presença de fenolftaleína. Um branco foi realizado para correção do volume. A molaridade foi calculada pela equação:

Onde:
MNaOH = molaridade da solução de NaOH;
mb = Peso (g) do biftalato de potássio;
VNaOH = Volume (mL) da solução de NaOH gasto na titulação
Amostras de 1 a 5g foram colocadas em erlenmeyer, adicionando-se 50 mL de água destilada e 2 a 4 gotas de fenolftaleína. A titulação foi realizada com NaOH 0,1 mol/L até a coloração rósea persistente. A titulação procedeu-se com a seguinte equação:

Onde:
VNaOH = volume (em mL) da solução de NaOH gasto na titulação
MNaOH= molaridade do NaOH usado na titulação (normalmente 0,1 mol/L)
fNaOH = fator da solução de hidróxido de sódio 0,1 N
Mácido= massa molar do ácido
NH= nº de hidrogênios titulados
mamostra= massa (em gramas) de amostra usada na titulação
Para calcular o fator da solução de NaOH:

Identificação do pH
A identificação do pH das garrafadas foi realizada utilizando um pHmetro da marca Kasui e um béquer de 50 ml para o manuseio das amostras. Antes de utilizar o equipamento, realizaram-se as calibrações com soluções-tampão de pH 4 e pH 7, a fim de garantir a precisão das medições. Após esse procedimento, foram adicionados 20 ml de cada garrafada para a medição do pH, com as leituras sendo realizadas em triplicatas [13].
Análise do teor alcóolico
O teor alcoólico (concentração de etanol) foi determinado utilizando-se o ebuliômetro. Inicialmente é feita a calibração do equipamento com água destilada, até a temperatura de ebulição, a qual serve de referência para o etanol. Com a temperatura de ebulição da água e da amostra, determinou-se a concentração de etanol, utilizando a régua de conversão que acompanha o equipamento [13].
Quantificação dos Polifenóis Extraíveis Totais (PET)
A análise consiste em oxidação que ocorre nos fenolatos por meio do reagente Folin-Ciocalteau diminuindo os ácidos em um complexo de cor azul Mo-W. tornando-se o ácido gálico uma substância de utilização modelo. A finalidade dos polifenóis extraíveis totais ocorreu a princípio com testes das alíquotas. Entre as quais apresentassem absorbância por entre os pontos mínimo e máximo presentes na curva padrão especificada tendo a absorbância perto do valor mediano. Para o manuseio das amostras foram utilizados tubos de ensaio em triplicados aplicando a técnica de pipetagem nos tubos direcionados para as amostras de alíquotas com extratos preparado com base no protocolo do laboratório de frutos tropicais da UFC definido por descrito por Singleton e Straits que foram realizados nas amostras. A utilização do tubo branco constituiu-se em 0,5 ml da amostra de cada garrafada, 0,5 ml de Folin-Ciocalteau, 1 ml de carbonato de sódio 20% e homogeneizado e realizado a leitura após 30 minutos com adição dos reagentes. Esses procedimentos foram efetuados ao abrigo da luz.
Determinação da atividade antioxidante total (AAT) pelo método ABTS
A definição da ação antioxidante ocorreu por meio do método elaborado por Miller et al. [14], com moldagens realizadas por Rufino et al. [15] que corresponde a captura dos radicais livres – ABTS. Através deste método é originado o ABTS+, que apresenta uma cor azul meio esverdeado, e sua reação passa-se devido a mistura de solução reserva de ABTS, acompanhada com a solução de persulfato de potássio. Da mesma forma ocorre com a junção do antioxidante, provocando um prejuízo ao ABTS+, proporcionando perda nas cores advindo do ABTS. Diante disso a percentagem ocorre devido o bloqueio de ABTS+ dos quais foi estabelecido por meio da curva padrão de Trolox.
Em ambiente escuro, transferiu-se uma alíquota de 30 µL do extrato para os tubos de ensaio com 3,0 mL do radical ABTS·+ e foi homogenizado em agitador de tubos. Realizou-se a leitura (734 nm) após 6 minutos da mistura e utilizou-se o álcooletílico, como branco, para calibrar o espectrofotômetro. A partir das absorbâncias obtidas dos extratos, registrou-se a absorbância no eixo Y e a diluição (mg/L) no eixo X. Em seguida, determinou-se a equação da reta.
Análise microbiológica
Para avaliação microbiológica das amostras foi realizado o teste por método de contagem em placa em profundidade, pour-plate, conforme descrito na Farmacopeia Brasileira [16]. Esse teste é capaz de avaliar o número total de bactérias mesófilas e fungos em produtos não estéreis para uso oral ou tópico. Análise das amostras foi realizada em capela de fluxo laminar e, por se tratar de soluções hidroetanólicas, a inativação da atividade antimicrobiana do etanol foi removida pelas diluições realizadas para o desenvolvimento da metodologia. A partir de 10 mL da amostra prepararam-se diluições seriadas, utilizando 90 mL de solução tampão cloreto de sódio-peptona pH 7,0. Para todas as amostras foram realizadas as seguintes diluições: 1:100 e 1:000, que foram posteriormente inoculadas em Ágar Caseína-Soja (TSA) e Ágar Sabouraud-Dextrose (ASD). Para todas as amostras analisadas, distribuíram-se alíquotas de 1 mL de cada diluição, no centro de placas de Petri (90 x 15 mm) estéreis, em seguida foram vertidos, separadamente, 18 mL de Ágar caseína-soja e Ágar Sabouraud-Dextrose fundidos, resfriados e mantidos entre 45 °C e 50 °C. Em seguida, as placas foram homogeneizadas em movimentos de “8 ou S” e incubadas conforme as condições descritas na Tabela 1. O teste foi realizado em duplicata.
Tabela 1 - Condições de cultivo e incubação para análise microbiológica
|
Microrganismos |
Meio de cultura |
Temperatura |
Período de incubação |
|
Bactérias |
TSA |
37 ºC |
3 a 5 dias |
|
Fungos |
ASD |
25 ºC |
5 a 7 dias |
TSA – Ágar Caseína-Soja; ASD – Ágar Sabouraud-Dextrose
Fonte: Farmacopeia Brasileira, 6ª ed. (Brasil, 2019).
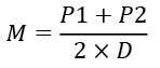
A contagem das colônias foi realizada apenas nas placas que apresentaram crescimento de no máximo 300 colônias no TSA e 100 colônias no ASD. Para quantificação do número de UFC/mL, a seguinte fórmula foi utilizada:

Onde:
N = Nº de UFC/mL;
P1 = nº de colônias na placa 1
P2 = nº de colônias na placa 2
D = Diluição utilizada
Nas placas onde foi observada a ausência de crescimento, a contagem foi registrada como sendo menor que uma vez a menor diluição correspondente.
Identificação botânica
Por meio do levantamento bibliográfico das plantas medicinais presentes nos rótulos das garrafadas, foi possível identificar o nome científico, parte utilizada de cada espécie vegetal, forma de uso, indicação do rótulo e suas respectivas indicações terapêuticas, conforme apresentado no Quadro 1.
Quadro 1 - Identificação das espécies vegetais presentes nas garrafadas medicinais
|
Amostra |
Nome Popular |
Nome científico |
Parte |
Forma de uso |
Indicação do rótulo |
Indicação Terapêutica |
|
G1 |
- Unha de gato - Hortelã |
Uncaria tomentosa e Mentha |
Folha e Caule/ Folha |
Tomar uma colher após almoço e jantar |
Inflamações gerais |
Anti-inflamatório e antioxidante |
|
G2 |
Malvarisco |
Hibiscus sabdariffa |
Folha |
Tomar uma colher a cada três horas |
Regulação da pressão arterial |
Antioxidante e anti-hipertensivo |
|
G3 |
- Romã - Cajueiro |
Punica granatum e Anacardium occidentale |
Fruto/ Casca |
Tomar duas colheres a cada seis horas |
Tratamento de resfriados |
Anti-inflamatório e antioxidante |
|
G4 |
Chanana |
Cymbopogon citratus |
Raíz |
Tomar uma colher três vezes ao dia |
Tratamento de cólica e gases |
Antimicrobiana e anti-inflamatório |
Acidez Total Titulável
A avaliação da acidez é importante para garantir a qualidade sensorial e a segurança alimentar dessa bebida. Os resultados encontram-se na Tabela 2.
|
AMOSTRA |
ACIDEZ TOTAL TITULÁVEL (%) |
|
G1 |
2,06 |
|
G2 |
3,1 |
|
G3 |
3,45 |
|
G4 |
1,73 |
Tabela 2 - Teor da acidez total titulável
Legenda: Garrafadas: G1 - unha de gato e hortelã; G2 - malvarisco; G3 - romã e cajueiro; e G4 - chanana.
PH
As quatro garrafadas analisadas apresentaram teores de pH bastante próximos, com uma variação de 8,04% entre o valor máximo e o mínimo (tabela 3). Essa pequena diferença sugere uma certa uniformidade nas condições de preparação das garrafadas.
|
AMOSTRA |
pH |
|
G1 |
5,22 |
|
G2 |
5,33 |
|
G3 |
5,46 |
|
G4 |
5,64 |
Tabela 3 – Determinação de pH
Legenda: Garrafadas: G1 - unha de gato e hortelã; G2 - malvarisco; G3 - romã e cajueiro; e G4 – chanana.
Teor alcóolico
Trata-se de uma característica importante, especialmente porque a maioria dos raizeiros utilizam o álcool como veículo de extração dos princípios ativos das plantas medicinais. Os resultados encontram-se na tabela a seguir.
Tabela 4 - Teor alcóolico
|
AMOSTRA |
TEOR ALCOÓLICO (g/l) |
|
G1 |
3 |
|
G2 |
3 |
|
G3 |
2 |
|
G4 |
4 |
Legenda: Garrafadas: G1 - unha de gato e hortelã; G2 - malvarisco; G3 - romã e cajueiro; e G4 - chanana.
Polifenóis extraíveis totais
A curva padrão dos polifenóis, bem como os resultados, encontram descritos a seguir.

Fonte: Labfrutos (UFC).
Figura 1 - Curva padrão com o ácido gálico
Os valores obtidos apresentam uma variação de 4,79 a 16,30 mg EAG/100g. Observa-se que a amostra G3 foi a que apresentou a maior concentração de polifenóis extraíveis totais (tabela 5).
Tabela 5 - Quantificação dos polifenóis extraíveis totais em garrafadas medicinais comercializadas em feiras livres
|
AMOSTRA |
PET (mg/100g) |
|
G1 |
5,36 ± 0,21 |
|
G2 |
4,79 ± 0,21 |
|
G3 |
16,30 ± 0,51 |
|
G4 |
5,31 ± 0,12 |
Legenda: Garrafadas: G1 - unha de gato e hortelã; G2 - malvarisco; G3 - romã e cajueiro; e G4 - chanana.
Atividade Antioxidante Total
Para esta análise, foi aplicada a curva de calibração conforme a figura ilustrada.

Fonte: Labfrutos (UFC).
Figura 2 - Curva de calibração da análise ATT
Na Tabela 6 observa-se a análise de determinação da AAT pelo método ABTS, vale ressaltar que todas as amostras analisadas apresentaram uma boa capacidade antioxidante, destacando novamente a amostra G3 (181,71 ± 10,47), que demonstrou uma maior quantidade de polifenóis, provavelmente pela composição de duas espécies vegetais com alta concentração de compostos bioativos, destacando suas propriedades antioxidantes e anti-inflamatórias.
Tabela 6 - Atividade antioxidante pelo método ABTS em garrafadas medicinais comercializadas em feiras livres
|
AMOSTRA |
AAT (mg/100g) |
|
G1 |
51,33 ± 11,96 |
|
G2 |
38,00 ± 3,17 |
|
G3 |
181,71 ± 10,47 |
|
G4 |
38,12 ± 3,36 |
Legenda: Garrafadas: G1 - unha de gato e hortelã; G2 - malvarisco; G3 - romã e cajueiro; e G4 - chanana.
Análise microbiológica
De um total de quatro amostras de garrafadas analisadas, três apresentaram crescimento microbiano (tabela 7).
Tabela 7 - Análise microbiológica das garrafadas medicinais
|
Amostras |
Contagem Total de |
Contagem Total de |
|
Garrafada 1 |
0,6 x 104 UFC/mL |
1,53 x 104 UFC/mL |
|
Garrafada 2 |
>10 |
1,51 x 104 UFC/mL |
|
Garrafada 3 |
7,55 x 105 UFC/mL |
5,05 x 105UFC/mL |
|
Garrafada 4 |
1,53 x 104UFC/mL |
5,30 x 105 UFC/mL |
Identificação botânica
Em 1994, a espécie U. tomentosa obteve o reconhecimento oficial da Organização Mundial da Saúde (OMS) como planta medicinal. Tem-se pesquisas que demostram que a U. tomentosa ser promissora como adjuvante na atividade anticâncer auxiliando na redução da metástase e no fortalecimento do sistema imunológico [17,18]. No entanto, embora seus efeitos anticâncer sejam promissores, ainda é necessário realizar mais estudos clínicos para confirmar sua eficácia e segurança.
De maneira geral, com base no levantamento bibliográfico a junção das ervas medicinais, comercializada como bebida fitoterápica, tendem a agir em conjunto no combate a doenças populares [6]. Cada planta presente nessas formulações traz consigo propriedades terapêuticas específicas, que, quando combinadas, potencializam os efeitos benéficos para a saúde.
Acidez Total Titulável
A acidez das garrafadas pode influenciar tanto na sua estabilidade quanto no seu sabor e digestão. Uma acidez excessiva pode ser indesejável e indicar problemas de conservação ou deterioração. Além disso, um estudo sobre a estabilidade de uma bebida funcional de frutas tropicais e yacon observou que a acidez é um importante parâmetro de qualidade. Durante o armazenamento, o pH da bebida decaiu de 3,4 para 3,1, e a acidez aumentou de 0,69 para 0,73, indicando que reações de decomposição, como oxidação e fermentação, podem gerar compostos ácidos que aumentam a acidez do meio [19].
pH
Para as garrafadas medicinais, o pH ideal pode variar dependendo dos ingredientes utilizados, mas geralmente é esperado que esteja dentro de uma faixa específica para garantir a preservação das propriedades medicinais e a segurança microbiológica do produto. Medições de pH abaixo ou acima do esperado podem indicar possíveis problemas de formulação ou contaminação.
Almeida et al. [20] realizaram um estudo com 12 amostras de preparações herbais, das quais 4 eram garrafadas e 8 eram xaropes. Os resultados indicaram que todas as preparações apresentaram valores de pH baixos, com um valor médio de 2,15, em uma faixa de temperatura entre 14 e 21 °C. Já [5] ao analisar o pH de dez garrafadas medicinais verificaram que estas variam entre 3,32 à 4,16.
Teor alcóolico
A determinação do teor alcoólico é crucial para garantir a padronização e a eficácia terapêutica das garrafadas, além de fornecer informações essenciais sobre a preservação do produto, visto que o álcool desempenha um papel fundamental na estabilidade das garrafadas, especialmente no que diz respeito à prevenção da proliferação microbiana [4]. Teores alcoólicos abaixo do esperado podem indicar diluição ou adulteração, enquanto concentrações excessivamente altas podem representar riscos à saúde dos consumidores, comprometendo a segurança e a qualidade do produto.
Polifenóis extraíveis totais
O aumento na quantidade de polifenóis (tabela 5) demonstrada na amostra G3 (16,30; DP = 0,51) em comparação as demais amostras analisadas podem ser devido a fatores como a colheita, solo, clima, o horário de coleta das plantas que foram utilizadas para a produção das garrafadas e outros meios. Além de que se trata de uma garrafada composta por duas ervas onde ambas possuem propriedades antioxidantes e anti-inflamatórias ao contrário das demais que possuem apenas uma erva com essa característica ou nenhuma [21].
Ao comparar os valores das garrafadas analisadas nesse estudo com o estudo realizado por Peçanha et al. [22] com uma série de amostras diferentes envolvendo chá verde nota-se que as garrafadas G1, G2 e G4 possuem uma baixa quantidade de polifenóis em comparação a quantidade de polifenóis encontrados um valor de (12,98; DP = 0,16). Silva et al. [5], ao analisar 10 diferentes composições de garrafadas, encontrou uma variação nos valores de PET, que ficaram entre 0,91 e 4,33 mg de ácido gálico por 100g das amostras estudada.
Atividade Antioxidante Total
Em relação a atividade antioxidante a garrafada que apresentou a maior atividade antioxidante foi a G3 (romã e cajueiro). Esse dado converge parcialmente com os resultados obtidos por Silva et al. [5] indicaram que algumas amostras, como a garrafada produzida à base de cajueiro, jurema e angico, apresentaram valores baixos, sugerindo uma ação antioxidante limitada ou quase inexistente. Por outro lado, a garrafada à base de gengibre, alho e romã evidenciou uma atividade antioxidante considerável. Pode-se dizer que a romã é a responsável por esses valores mais elevados, pois esta é rica em propriedades antioxidantes [23].
Análise microbiológica
Na análise microbiológica das garrafadas medicinais 90% das garrafadas analisadas se encontram dentro dos limites estabelecidos pela Farmacopeia Brasileira [16] para contagem de bactérias (<10 UFC/mL). Com relação a contaminação por fungos, 100% das preparações estão em conformidade com as recomendações (<104 UFC/mL), para produtos não estéreis em conformidade com as exigências preconizadas pela Farmacopeia Brasileira para esse tipo de produto. Os dados obtidos por Silva et al. [5] para contagem de bactérias estão em consonância com os resultados do presente estudo, no qual 90% das garrafadas analisadas atendem aos limites estabelecidos pela Farmacopeia Brasileira para. No entanto, no que diz respeito à contaminação por fungos, apenas 50% das amostras estão em conformidade com as recomendações.
Embora a pesquisa tenha mostrado resultados satisfatórios, é importante ressaltar que há uma escassez de estudos na literatura sobre o tema. Assim, mais investigações bioquímicas são necessárias para avaliar os compostos presentes nas garrafadas medicinais e os respectivos protocolos de fabricação, visando a comprovação de sua eficácia e segurança, especialmente para beneficiar a população que as utiliza em busca de saúde e bem-estar.
Na literatura científica, não existe uma padronização específica para a produção das garrafadas medicinais, o que pode resultar em modificações nas amostras desejadas. Isso se deve a diversos fatores, como a forma e o horário de coleta das plantas, o local de origem, a qualidade da água utilizada e o método de conservação empregado para garantir a durabilidade da bebida.
Quanto aos valores de pH e acidez, os resultados obtidos estão dentro dos limites aceitáveis conforme os relatos encontrados na literatura. O teor alcoólico presente nas garrafadas pode, no entanto, influenciar a determinação de parâmetros bioquímicos.
A garrafada G3 apresentou resultados superiores de polifenóis, o que pode ser atribuído a diversos fatores, como a presença de compostos bioativos específicos que podem atuar de maneira mais eficaz no combate a doenças. Na análise microbiológica, apenas uma amostra apresentou crescimento bacteriano, enquanto as demais estavam em conformidade com as recomendações estabelecidas.
O uso indiscriminado de recursos vegetais desperta preocupações, principalmente quando associado ao consumo de medicamentos industrializados, devido ao risco de interações entre compostos vegetais e fármacos, o que pode resultar em alterações farmacológicas e efeitos tóxicos graves.
Conflitos de interesse
Os autores declaram não haver conflitos de interesse de qualquer natureza.
Fontes de financiamento
Financiamento próprio.
Contribuição dos autores
Concepção e desenho da pesquisa: Rufino MSM; Coleta de dados: Stedile BES, Nunes LE; Análise e interpretação dos dados: Stedile BES, Nunes LE, Oliveira LS; Redação do manuscrito: Stedile BES, Coelho AFA, Rufino MSM; Revisão crítica do manuscrito quanto ao conteúdo intelectual importante: Nunes LE, Rufino MSM.
Referências
1. Carvalho MR, Oliveira DC, Santos LFD, Silva EAS, Lima JF, Silva MA, et al. Fitoterápicos como alternativa terapêutica para infecções respiratórias. Rev Científ UBM. 2025;27(52):15–29. doi: https://doi.org/10.52397/rcubm.v27i52.2264
2. Oliveira VB, Mezzomo OTR, Moraes EF. Conhecimento e uso de plantas medicinais por usuários de unidades básicas de saúde na região de Colombo, PR. Rev Bras Ciênc Saúde. 2018;22(1):57–64. doi: https://doi.org/10.22478/ufpb.2317-6032.2018v22n1.30038
3. Zeni ALB, Pinheiro MRS, Traebert J, Traebert E. Utilização de plantas medicinais como remédio caseiro na Atenção Primária em Blumenau, Santa Catarina, Brasil. Ciênc Saúde Coletiva. 2017;22(8):2703–12. doi: https://doi.org/10.1590/1413-81232017228.18892015
4. Passos MMB, Silva MA, Pereira DCA, Oliveira FJ. A disseminação cultural das garrafadas no Brasil: um paralelo entre medicina popular e legislação sanitária. Saúde Debate. 2018;42:248–62. doi: https://doi.org/10.1590/0103-1104201811620
5. Silva FM, Sousa JF, Mendes RP, Alves CV. Análises bioquímicas e microbiológicas de garrafadas medicinais comercializadas em feiras livres no interior do Ceará, Brasil. Nutr Bras. 2024;23(5):1164–80. doi: https://doi.org/10.62827/nb.v23i5.3041
6. Silva FM, Sousa JF, Oliveira NL, Bezerra GC. Análise etnobotânica/etnofarmacológica de garrafadas à base de plantas medicinais de um mercado de Fortaleza-CE. Rev Fitos. 2024;18:1655. doi: https://doi.org/10.32712/2446-4775.2024.1655
7. Castro MR, Léda PH. Plantas Medicinais e Fitoterápicos: Conhecimento tradicional e científico das espécies nativas do Brasil. Rev Integr Inov Tecnol Ciênc Saúde. 2023;11:191–209.
8. Pedroso RS, Andrade G, Pires RH. Plantas medicinais: uma abordagem sobre o uso seguro e racional. Physis Rev Saúde Coletiva. 2021;31(2):310218. doi: https://doi.org/10.1590/S0103-73312021310218
9. Brasil. Ministério da Saúde. Secretaria de Ciência, Tecnologia e Insumos Estratégicos. Departamento de Assistência Farmacêutica. Política e Programa Nacional de Plantas Medicinais e Fitoterápicos. Brasília: Ministério da Saúde; 2016. 190 p. Disponível em: https://bvsms.saude.gov.br/bvs/publicacoes/politica_programa_nacional_plantas_medicinais_fitoterapicos.pdf
10. Castro MR, Léda PH. Plantas Medicinais e Fitoterápicos: Conhecimento tradicional e científico das espécies nativas do Brasil. Rev Integr Inov Tecnol Ciênc Saúde. 2023;11:191–209.
11. Ferreira MV, Lebuino LP, Santos JS. Medicinal plants for traditional use in the south of Pará: an ethnobotanical study. Res Soc Dev. 2021;10(12):592101220778. doi: https://doi.org/10.33448/rsd-v10i12.20778
12. Souza RR, Gasparoti PS, de Paula JAM. Obtenção de extratos de plantas medicinais: uma revisão de escopo dos métodos extrativos modernos em comparação ao método clássico por Soxhlet. Movimenta. 2022;15(1):20220013. doi: https://doi.org/10.31668/movimenta.v15i1.12870
13. Universidade Federal do Ceará. Laboratório de Frutos Tropicais. Manual de Metodologias de Análise de Alimentos. Fortaleza: LAFRUTH/UFC; [s.d.]. Documento interno.
14. Miller NJ, Arroz-Evans DM, Gopinathan V MU. A novel method for measuring antioxidant capacity and its application to monitoring antioxidant status in premature neonates. Clin Sci. 1993;84(4):407–12.
15. Rufino MdSM, Alves RE, Brito ES, Morais SM, Sampaio CG, Pérez-Jiménez J, et al. Determinação da atividade antioxidante total em frutas pela captura do radical livre ABTS+. Fortaleza: EMBRAPA Agroindústria Tropical; 2007. Comunicado Técnico 128.
16. Brasil. Agência Nacional de Vigilância Sanitária. Farmacopeia Brasileira. 6. ed. Brasília: Ministério da Saúde; 2019.
17. Silva GA, Costa ES, Lima RM, Nascimento RS, Almeida FS, Freitas NM, et al. O potencial terapêutico da unha de gato (Uncaria tomentosa) como tratamento adjuvante para o câncer de mama. Observatório Econ Latinoam. 2024;22(11):7998. doi: https://doi.org/10.55905/oelv22n11-249
18. Zari A, Fouchard JR, Voutquenne-Nazabadioko L, Sauvain M, Anton R. Treatment with Uncaria tomentosa promotes apoptosis in B16-BL6 mouse melanoma cells and inhibits the growth of B16-BL6 tumours. Molecules. 2021;26(4):1066. doi: https://doi.org/10.3390/molecules26041066
19. Dionisio AP, Ferreira VLF, Ferreira SO, Alves LA, Santos RHS, Duarte WM. Estabilidade de uma bebida funcional de frutas tropicais e yacon (Smallanthus sonchifolius) durante o armazenamento sob refrigeração. Arch Latinoam Nutr. 2016;66(2):148–55.
20. Almeida AF, Lopes BB, Alves GRS, Silva WLS, Lima MB, Barros WS. Evaluation of irregularly manufactured garrafadas and syrups seized in the state of Amapá, Brazil. World J Biol Pharm Health Sci. 2022;10(1):46–60. doi: https://doi.org/10.30574/wjbphs.2022.10.1.0060
21. Abrahão SA, Vasconcelos LGA, Silva RF, Batista AG, Silva MA, Toledo MCF. Atividade antioxidante in vitro e in vivo de café bebida. Pesqui Agropecu Bras. 2012;47(1):127–33. doi: https://doi.org/10.1590/S0100-204X2012000100017
22. Peçanha F, Fagundes Y, Souza L, Almeida C. Análise do teor de polifenóis em diferentes amostras de Camellia sinensis. In: Salão Internacional de Ensino, Pesquisa e Extensão, 10., 2018, Brasília. Anais do 10º Salão Internacional de Ensino, Pesquisa e Extensão – Siepe. Brasília: Universidade Federal do Pampa; 2018.
23. Melgarejo-Sánchez P, Martínez-Nicolás JJ, Hernández F, Legua P, Melgarejo P, Martínez JJ. Pomegranate variety and pomegranate plant part, relevance from bioactive point of view: A review. Bioresour Bioprocess. 2021;8:1–29. doi: https://doi.org/10.1186/s40643-020-00351-5