ARTIGO ORIGINAL
Aconselhamento nutricional com ênfase na alimentação cardioprotetora e saúde para hipertensas: Impacto na atenção primária
Nutricional counseling with emphasis on cardioprotection and healthy eating for hypertensive women: Impact on primary care
Nilciane Taques1, Anna Flávia de Freitas Loiola1, Caryna Eurich Mazur2, Fernanda Eloy Schmeider1
1Universidade Estadual do Centro-Oeste (UNICENTRO), Guarapuava, PR, Brasil
2Universidade Estadual do Oeste do Paraná (UNIOESTE), Cascavel, PR, Brasil
Recebido em: 07 de agosto de 2024; Aceito em: 13 de agosto de 2024.
Correspondência: Caryna Eurich Mazur, carynanutricionista@gmail.com
Como citar
Taques N, Loiola AFF, Mazur CE, Schmeider FE. Aconselhamento nutricional com ênfase na alimentação cardioprotetora e saúde para hipertensas: Impacto na atenção primária. Nutr Bras. 2024;23(3):974-991. doi:10.62827/nb.v23i3.3027
Introdução: A hipertensão arterial sistêmica (HAS) é uma doença crônica multifatorial, sendo uma das causas de morbimortalidade por doenças cardiovasculares (DCV). Dentre os fatores de risco encontram-se aqueles que podem ser prevenidos por meio da alteração de comportamentos, como a alimentação inadequada. A alimentação possui importante função na promoção da saúde e no desenvolvimento de doenças, com destaque para as Doenças Crônicas Não Transmissíveis (DCNT), onde a HAS está inclusa. Objetivo: verificar a efetividade do aconselhamento nutricional e em saúde em hipertensas associada a uma alimentação cardioprotetora. Métodos: Trata-se de um estudo transversal intervenção com hipertensas, cadastradas em uma Unidade de Estratégia de Saúde da Família (ESF) de Guarapuava-PR. As participantes receberam simultaneamente intervenção conjunta da fisioterapia e nutrição. O aconselhamento nutricional e em saúde, foi baseada nos princípios da Alimentação Cardioprotetora desenvolvida pelo Ministério da Saúde, ocorrendo em seis encontros semanais. Resultados: Houve participação de 10 hipertensas com idade entre 35 e 57 anos, observou-se um aumento no consumo diário de alimentos cardioprotetores, redução significativa do consumo diário de alimentos ultraprocessados e ingredientes culinários, aumento no consumo hídrico e consequentemente melhora no estado nutricional das hipertensas após aconselhamento nutricional. Conclusão: Os resultados indicaram que a maioria das participantes com HAS modificaram seus hábitos alimentares após aconselhamento nutricional e com isso, espera-se que as estratégias educativas embasadas nas ações de educação em saúde dentro da APS, sejam fortalecidas por meio de políticas públicas, já que foi enfatizando seu efeito positivo no tratamento de usuárias hipertensas.
Palavras-chave: Apoio nutricional; educação alimentar e nutricional; fatores de risco de doenças cardíacas; hipertensão arterial sistêmica.
Introduction: Systemic arterial hypertension (SAH) is a multifactorial chronic disease, being one of the causes of morbidity and mortality due to cardiovascular diseases (CVD). Among the risk factors are those that can be prevented by changing behaviors, such as inadequate nutrition. Food plays an important role in promoting health and in the development of diseases, with emphasis on Non-Communicable Chronic Diseases (NCDs), in which SAH is included. Objective: to verify the effectiveness of nutritional and health counseling in hypertensive patients associated with a cardioprotective diet. Methods: This is a longitudinal intervention study with hypertensive women registered in a Family Health Strategy Unit (ESF) in Guarapuava-PR. The participants simultaneously received joint intervention of physiotherapy and nutrition. Nutritional and health counseling was based on the principles of Cardioprotective Food developed by the Ministry of Health, taking place in six weekly meetings. Results: There was participation of 10 hypertensive women aged between 35 and 57 years, in which an increase in the daily consumption of cardioprotective foods was observed, a significant reduction in the daily consumption of ultra-processed foods and culinary ingredients, an increase in water consumption and, consequently, an improvement in the nutritional status of hypertensive women. after nutritional counseling. Conclusion: The results indicated that most participants with SAH changed their eating habits after nutritional counseling and, therefore, it is expected that educational strategies based on health education actions within PHC will be strengthened through public policies, as it was emphasizing its positive effect in the treatment of hypertensive users.
Keywords: Nutritional support; food and nutrition education; risk factors for heart disease; hypertension.
A hipertensão arterial sistêmica (HAS) é uma doença crônica multifatorial e uma das principais causas de morbimortalidade por doenças cardiovasculares (DCV), sendo que o número de pessoas acometidas vem crescendo significativamente no Brasil e no mundo. A HAS atingiu no Brasil em 2019, cerca de 38,1 milhões de pessoas, (23,9% da população adulta), contribuindo direta ou indiretamente com aproximadamente 50% das mortes por DCV [1,2]. Consiste em uma condição clínica, geralmente insidiosa, caracterizada por elevação sustentada dos níveis pressóricos sistólicos ≥ 140 mmHg e/ou diastólicos ≥ 90 mmHg na ausência de medicação anti-hipertensiva [1,4,5].
Entre os fatores de risco para a HAS estão a idade avançada, a etnia negra ou parda, a presença de sobrepeso ou obesidade, o menor nível de escolaridade, além de questões genéticas, e o sedentarismo [1]. Entretanto, também pode ser determinada por fatores mutáveis que podem ser prevenidos por meio da alteração de comportamentos de risco, tais como uso de tabaco, uso nocivo de álcool, alimentação não adequada/saudável, com excesso de sódio e gorduras, além do controle do peso corporal [6].
Nesse sentido, sabe-se que a alimentação possui uma importante função tanto na promoção da saúde quanto no desenvolvimento de doenças, com destaque para as Doenças Crônicas Não Transmissíveis (DCNT), nas quais a HAS está inclusa. O consumo diário de alimentos ultraprocessados têm crescido rapidamente nos últimos anos, os quais podem ter um potencial risco no aumento da prevalência e incidência da HAS e consequentemente das DCV. Mais da metade das calorias consumidas diariamente por adultos, são provindas do consumo desses alimentos, apresentando densidade energética importante além de ingredientes não saudáveis como gordura, colesterol e sódio, responsáveis pelo ganho de peso, descompensação da pressão arterial e alterações lipídicas séricas importantes. Em contrapartida, uma alimentação baseada em alimentos in natura e/ou minimamente processados parecem ter um fator protetivo tanto para a HAS quanto para o desenvolvimento das DCV [7,8,9,10].
Segundo Holben e Marshall [11] é crescente a preocupação dos profissionais da saúde em orientar a população sobre uma alimentação adequada e saudável, tanto para a promoção de saúde, quanto para prevenção de doenças. No âmbito da Atenção Primária à Saúde (APS), o cuidado aos hipertensos acontece por meio da Rede de Atenção à Saúde (RAS) das pessoas com doenças crônicas, organizada através de linhas de cuidado prioritárias e que envolve um trabalho multiprofissional, tendo os profissionais de saúde da APS um papel primordial nas ações individuais e coletivas de controle da HAS, como identificação do grupo de risco, diagnóstico precoce, conduta terapêutica e educação em saúde [12,13].
Apesar dos esforços para a criação de equipes capazes de compartilhar o cuidado integral aos usuários da APS, as orientações sobre alimentação saudável na prática podem acabar centradas na figura do nutricionista, o que limita e restringe a disseminação dessas informações. Ressalta-se que a atividade de prescrição dietética é privativa deste profissional, mas a orientação alimentar e nutricional pode e deve ser realizada por qualquer profissional das equipes de APS [14,15].
Tendo em vista o cuidado com a saúde cardiovascular, e como prevenção para evitar enfermidades associadas que podem acometer futuramente indivíduos que são portadores de HAS, a melhora da alimentação diária por meio do consumo de alimentos cardioprotetores pode fazer com que os indivíduos tenham adesão em sua rotina alimentar, tornando-a mais saudável e, evitando assim alimentos prejudiciais e com possíveis riscos para o desenvolvimento das doenças crônicas [12,16]. Verificou-se a efetividade do aconselhamento nutricional e em saúde em hipertensos associada a uma alimentação cardioprotetora.
Delineamento
Trata-se de um estudo transversal de intervenção em pacientes hipertensas, realizado por uma nutricionista e uma fisioterapeuta, residentes de um programa Multiprofissional em Atenção Primária a Saúde, com ênfase em Saúde da Família em uma Unidade Básica de Saúde (UBS) na cidade de Guarapuava-PR. As pacientes receberam intervenção através do método pilates associado ao aconselhamento nutricional e em saúde, com foco na alimentação cardioprotetora. O pilates foi conduzido pela fisioterapeuta, sendo que cada sessão de tratamento teve duração de 60 minutos, realizado duas vezes por semana por um período de sete semanas. Com relação ao aconselhamento nutricional, houve um encontro semanal após cada sessão de pilates, também com duração de 60 minutos.
Seleção da Amostra
Para a seleção da amostra, foram elegíveis indivíduos hipertensos adultos de ambos os sexos cadastrados em um território da cidade de Guarapuava-PR com idade entre 40 e 59 anos, que estavam em tratamento medicamentoso para hipertensão arterial sistêmica e aceitaram participar da pesquisa, assinando o Termo de Consentimento Livre e Esclarecido (TCLE).
Foram excluídos idosos com faixa-etária 60 anos ou mais, que não pertenciam ao território e que apresentavam outras enfermidades associadas à HAS, como diabetes mellitus tipo 2 e câncer; que não estivessem realizando o tratamento anti-hipertensivo prescrito de forma regrada e adequada; hipertensos descompensados (pressão arterial superior à 140/90 mmHg mesmo após administração de medicamento); que apresentavam histórico de complicações decorrentes de cronicidade da HAS (infarto agudo do miocárdio, insuficiência renal e acidente vascular encefálico); déficit cognitivo e de ortostatismo; obesos grau 3 (IMC > 40, kg/m²); pacientes com deficiência no sistema imune; plaquetopênicos; que já praticavam alguma atividade física ou exercício físico regularmente.
Foram utilizados os dados do Programa Hipertenso/Diabético do território, contidos no prontuário eletrônico do Sistema Fast Medic® do Município de Guarapuava, sendo primeiramente realizada uma filtragem para identificar os usuários ativos no programa, passíveis de participar da pesquisa, considerando os critérios de inclusão e exclusão. Com auxílio dos Agentes Comunitários de Saúde (ACS) da UBS, foi realizada busca ativa destes, por meio de visita domiciliar, sendo o convite para participação do estudo feito pessoalmente pelas pesquisadoras, de forma verbal e com entrega de folder ressaltando as informações acerca de como a pesquisa seria realizada.
Para compor a amostra, foram selecionados os usuários que aceitaram participar e se enquadraram nos critérios estabelecidos. O território em que foi desenvolvida a pesquisa, possui 5996 usuários cadastrados, dos quais 847 se encontram vinculados ao programa de cuidado ao hipertenso, porém destes, apenas 423 estavam ativos. Após feito o convite, 25 mulheres aceitaram participar da pesquisa, as quais tiveram horário agendado na UBS para realização da avaliação inicial, porém, no decorrer da intervenção, houve uma perda amostral, resultando em uma amostra de 10 mulheres.
Pacientes
As participantes, eram todas do sexo feminino, adultas, com idade entre 35 e 57 anos, apresentando diagnóstico clínico de HAS, recebendo simultaneamente intervenção conjunta da fisioterapia e da nutrição. De forma individual as integrantes do estudo foram avaliadas em dois momentos distintos: avaliação inicial cerca de 15 dias antes do início das intervenções, e avaliação final, duas semanas após o término das intervenções. No primeiro encontro, foi aplicado um questionário para caracterização abrangendo condições socioeconômicas e breve histórico clínico, além da avaliação antropométrica e do consumo alimentar.
Avaliação antropométrica
No que se remete a avaliação nutricional, os dados antropométricos (peso e altura), foram aferidos pela nutricionista com auxílio de um estadiômetro compacto da marca Wiso®, com capacidade total de 200cm, fixo em uma parede sem rodapé e balança digital super slim da marca Britânia® com capacidade para 150 kg. Foi pedido com antecedência para que as participantes usassem roupas leves e retirassem os seus calçados no momento da avaliação, para que não ocorresse a superestimação das medidas.
Através da coleta destes dados, foi calculado Índice de Massa Corporal (IMC), considerando a razão Peso/Altura². Para a classificação do diagnóstico do estado nutricional (EN) segundo o IMC, foram utilizadas as classificações para adultos, segundo a World Health Organization (WHO) [17].
Para avaliar o risco cardiovascular foi aferida a circunferência da cintura (CC), onde foi utilizada fita métrica inelástica, estando a participante com mínimo de roupa possível, na distância média entre a última costela flutuante e a crista ilíaca. Para classificação de risco de DCV os valores obtidos foram comparados com os apresentados pela WHO [17,18,19].
Para associação do IMC com a circunferência da cintura entre os sexos foram utilizadas as comparações do estudo de Ross et al. [20].
Com aferição de tais medidas foi possível estabelecer um índice para avaliar o risco cardiovascular: Relação cintura-estatura (RCE). A RCE é uma relação proporcional direta do corpo humano, sendo assim seu ponto de corte é independente do sexo. Obtida por meio da divisão entre a medida da CC e estatura, ambas em centímetros. Sendo o valor referencial de risco cardiovascular menor que 0,5 [21,22]. Considera-se que a RCE é um marcador de adiposidade central e preditor de risco cardiometabólico.
Consumo Alimentar
Com relação ao consumo alimentar, a construção dos marcadores de alimentação saudável e não saudável foi referenciada no material do Ministério da Saúde intitulado “Orientações para Avaliação de Marcadores de Consumo Alimentar na Atenção Básica” [15]. O sistema eletrônico utilizado pela Secretaria Municipal de Saúde de Guarapuava, já conta com tais marcadores, sendo possível alimentá-los diretamente neste sistema. Para adultos, foram avaliados dois marcadores, um marcador saudável abrangendo o consumo de frutas, verduras e feijão; e não saudável, sendo o consumo de embutidos, bebidas adoçadas, macarrão instantâneo e biscoitos salgados, bem como o consumo de doces, guloseimas e biscoitos recheados. A avaliação do consumo alimentar ocorreu também no primeiro encontro com as participantes, através do questionário de frequência alimentar (QFA), adaptado seguindo a Dica Br, que separa os alimentos de acordo com as cores da bandeira do Brasil, levando em conta o consumo diário e não diário, sendo: grupo verde- alimentos cardioprotetores: hortaliças, frutas, legumes, leguminosas, e iogurte sem gordura (semidesnatados ou desnatados); Grupo amarelo: pães (francês, caseiro, de cará, integral), cereais (arroz branco e integral, aveia, granola, linhaça), macarrão, tubérculos cozidos (batata, mandioca, mandioquinha, inhame, cará), farinhas (mandioca, tapioca, milho, rosca), oleaginosas (castanha-do-Brasil/Pará, caju, nozes), óleos vegetais (soja, milho, azeite), mel, e doces caseiros como goiabada, doce de abóbora, cocada, geleia de frutas; Grupo azul: carnes e ovos, queijos brancos e amarelo, manteiga, doces caseiros (pudim, bolos, tortas, mousses), leite condensado e creme de leite; Já no grupo vermelho, foram incluídos alimentos ultraprocessados, como: banha de porco, margarina, embutidos, alimentos em pó como temperos e sucos, refrigerante e alimentos prontos congelados.
Intervenções
Após a avaliação de todas as participantes, as intervenções acorreram simultaneamente. O acompanhamento com pilates consistiu em 13 sessões de pilates solo, as quais, também passaram pelo aconselhamento nutricional e em saúde, durante 6 encontros ambos com 60 minutos de duração.
O aconselhamento nutricional e em saúde, foi baseada nas orientações associadas aos princípios da Alimentação Cardioprotetora desenvolvida pelo Ministério da Saúde. A Alimentação Cardioprotetora foi elaborada a partir de recomendações nutricionais descritas nas diretrizes brasileiras direcionadas para o tratamento e controle das DCV e seus fatores de risco, a fim de promover a alimentação saudável e adequada e prevenir agravos relacionados ao desenvolvimento de DCNT, especialmente a HAS [9].
O aconselhamento nutricional ocorreu no formato de educação alimentar e nutricional com as participantes, sempre após a sessão do pilates. Houve 6 encontros, com apresentação expositiva de conteúdo elaborado pela nutricionista, roda de conversa e entrega de material impresso com as orientações. Os conteúdos abordados foram:
1) Conhecendo a alimentação cardioprotetora brasileira
2) Alimentos cardioprotetores
3) Proporção dos grupos alimentares
4) Dicas para preparo dos alimentos e receitas
Os conteúdos 2 e 3 foram divididos em dois encontros cada um deles, para que o tema fosse mais bem aproveitado pelas participantes.
Local da pesquisa
A pesquisa foi realizada nas dependências do salão de uma Igreja, conforme autorização do responsável pela administração do local, sendo o método pilates na terça no período da manhã e quinta-feira no período da manhã e da tarde, já o acompanhamento nutricional, ocorreu na quinta, no período da tarde. Os dias e horários foram agendados de acordo com a disponibilidade dos participantes.
Critérios Éticos
A coleta de dados foi realizada após a aprovação do projeto de pesquisa pelo Comitê de Ética em Pesquisa da Universidade Estadual do Centro-Oeste (COMEP – UNICENTRO), número do parecer: 5271478/2022, sendo que o presente estudo está em conformidade com a Resolução 466/2012.
Análise Estatística
A análise e tabulação dos dados foram realizadas com o auxílio dos softwares Microsoft Excel® 2010 e SPSS® versão 25.0. A estatística foi descritiva, com a utilização de medidas de tendência central, frequências absolutas e relativas. Para avaliação da inferência estatística foi utilizado o teste T de Student pareado e Wilcoxon conforme a normalidade da amostra. Foram considerados significantes quando o valor de p<0,05.
Foram recrutadas 25 mulheres com hipertensão do território que passaram pelas avaliações iniciais, porém ao decorrer da pesquisa houve uma perda de 60% da amostra (n=15). A amostra foi composta somente por dez mulheres, com média de idade de 47,6 ± 6,4 anos. Com relação ao número de pessoas que moravam no domicílio o mínimo foram 3 pessoas e o máximo de 7. No que se refere ao tempo em que a HAS foi diagnosticada, o grupo apresentou uma mediana de 11 anos, sendo o mínimo de 3 e o máximo de 29 anos. A minoria (10%) era tabagista e 40% faziam uso regular de bebidas alcoólicas, apenas 20% praticavam atividade física.
Com relação ao EN das hipertensas, houve uma redução de peso, da CC, do IMC e da RCE após o aconselhamento nutricional (<0,05), como é demonstrado a tabela 1.
Tabela 1 - Comparação do EN das hipertensas antes e após aconselhamento nutricional
|
Variável |
Pré-aconselhamento |
Pós-aconselhamento |
p-valor |
|
Peso (Kg) - média/DP |
76,48±11,75 |
75,67±12,17 |
0,01* |
|
IMC (Kg/m²) - média/DP |
30,02±4,93 |
29,70±5,05 |
0,01* |
|
IMC – Classificação Eutrofia Sobrepeso Obesidade |
n (%) 1 (10) 3 (30) 6 (60) |
n (%) 1 (10) 5 (50) 4 (40) |
0,15** |
|
CC (cm) - média/DP |
96,75±12,70 |
93,75±12,70 |
< 0,001* |
|
CC – Classificação Sem risco Risco |
n (%) 1 (10) 9 (90) |
n (%) 1 (10) 9 (90) |
1,00** |
|
RCE - média/DP |
0,60±0,08 |
0,57±0,09 |
< 0,001* |
|
RCE – Classificação Sem risco Risco |
n (%) 1 (10) 9 (90) |
n (%) 3 (30) 7 (70) |
0,50** |
Fonte: Elaborado pelas autoras (2024) * teste T pareado; ** Wilcoxon
IMC: índice de Massa corporal
CC: Circunferência da Cintura
RCE: Relação Cintura- Estatura
Os resultados do consumo alimentar, levando em conta o consumo diário e não diário de alimentos cardioprotetores, seguindo a Dica Br, foi separado de acordo com o grupo correspondente, representado pelas cores da bandeira do Brasil, sendo que no grupo verde, houve aumento de 40% no consumo de hortaliças e 20% no consumo de frutas após o aconselhamento nutricional. No que se refere ao grupo amarelo, não houve diferença significativa quando comparados o consumo dos alimentos correspondentes no pré e pós aconselhamento. Com relação ao consumo do grupo azul, houve aumento diário de 20% no consumo de carnes ou ovos após o aconselhamento nutricional.
O grupo dos alimentos ultraprocessados, representado pela cor vermelha, foi o grupo em que mais houve melhora de consumo, apresentando uma redução significativa (p<0,05) no consumo de banha suína e margarina após o aconselhamento nutricional (Tabela 2).
Tabela 2 - Análise do consumo alimentar de alimentos cardioprotetores dos grupos pré e pós-aconselhamento
|
Variável |
Pré-aconselhamento (%) |
p-valor* |
Pós-aconselhamento (%) |
p-valor* |
p-valor (pré x pós)* |
|||
|
Consumo diário |
Consumo não diário |
Consumo diário |
Consumo não diário |
|||||
|
Alimentos do grupo verde |
||||||||
|
Hortaliças |
30 |
70 |
0,03 |
70 |
30 |
0,03 |
0,12 |
|
|
Frutas |
70 |
30 |
0,03 |
90 |
10 |
<0,001 |
0,62 |
|
|
Legumes |
30 |
70 |
0,03 |
50 |
50 |
0,932 |
0,12 |
|
|
Leguminosas |
80 |
20 |
<0,001 |
80 |
20 |
<0,001 |
1,00 |
|
|
Leites |
20 |
80 |
<0,001 |
10 |
90 |
<0,001 |
1,00 |
|
|
Alimentos do grupo amarelo |
||||||||
|
Pães |
70 |
30 |
0,03 |
90 |
10 |
0,03 |
1,00 |
|
|
Cereais |
100 |
– |
– |
100 |
– |
– |
– |
|
|
Massas |
10 |
90 |
<0,001 |
– |
100 |
– |
1,00 |
|
|
Tubérculos cozidos |
20 |
80 |
<0,001 |
– |
100 |
– |
1,00 |
|
|
Farinhas |
– |
100 |
– |
10 |
90 |
<0,001 |
– |
|
|
Castanhas |
10 |
90 |
<0,001 |
– |
100 |
– |
1,00 |
|
|
Doces caseiros: goiabada, doce de abóbora, cocada e geleia de frutas |
– |
100 |
– |
10 |
90 |
<0,001 |
1,00 |
|
|
Alimentos do grupo azul |
||||||||
|
Carnes ou ovos |
80 |
20 |
<0,001 |
100 |
– |
– |
– |
|
|
Leite condensado e creme de leite |
10 |
90 |
<0,001 |
10 |
90 |
<0,001 |
0,62 |
|
|
Gorduras: Manteiga |
30 |
70 |
0,03 |
30 |
70 |
– |
1,00 |
|
|
Doces caseiros: pudins, bolos, tortas e mousses |
– |
100 |
– |
– |
100 |
– |
– |
|
|
Alimentos do grupo vermelho |
||||||||
|
Banha de porco |
60 |
40 |
0,146 |
10 |
90 |
<0,001 |
0,005 |
|
|
Azeite |
60 |
40 |
0,146 |
70 |
30 |
0,03 |
1,00 |
|
|
Margarina |
60 |
40 |
0,146 |
10 |
90 |
<0,001 |
0,005 |
|
|
Condimentos naturais (Sal e açúcar) |
100 |
– |
– |
100 |
– |
– |
– |
|
|
Embutidos |
10 |
90 |
<0,001 |
– |
100 |
– |
– |
|
|
Alimentos prontos congelados |
– |
100 |
– |
– |
100 |
– |
– |
|
|
Alimentos em pó: Sucos e temperos |
60 |
40 |
0,146 |
10 |
90 |
<0,001 |
1,00 |
|
|
Salgadinhos de pacote e biscoitos |
30 |
70 |
0,03 |
– |
100 |
– |
– |
|
|
Refrigerantes |
10 |
90 |
<0,001 |
– |
100 |
– |
– |
|
Fonte: Elaborado pelas autoras (2024)
* Teste de Wilcoxon.
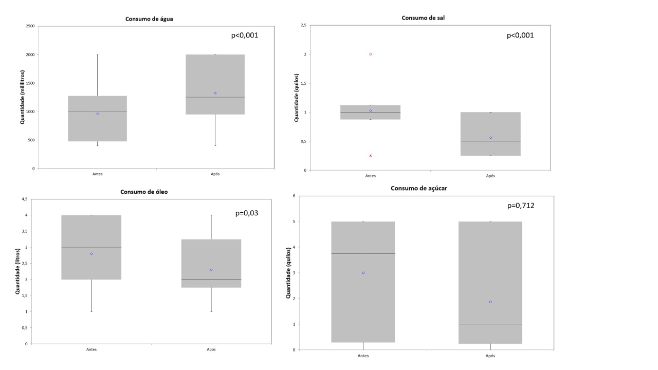
Com relação aos ingredientes culinários, houve uma redução significativa do consumo mensal de sal e óleo, sendo que a média do consumo antes do aconselhamento nutricional foi de 1,025 ±0,47kg de sal e 2,80±1,03L de óleo. Após o aconselhamento, as médias foram: sal 0,56± 0,32kg e óleo: 2,30±1,059L. O consumo hídrico também apresentou resultados significativos, com aumento da ingestão após o aconselhamento, a média do consumo foi 1320± 565mL, como mostra a figura 2.
Figura 2 - Relação do consumo dos ingredientes culinários e consumo hídrico antes e após aconselhamento nutricional
*p relativo ao Teste de Wilcoxon.
Fonte: Elaborado pelas autoras (2024)
Em síntese, os principais achados desse estudo demonstraram aumento do consumo diário de alimentos do grupo verde, considerados cardioprotetores, com destaque para hortaliças, frutas e legumes; aumento no consumo diário do grupo azul, representado pelo consumo de carnes e ovos; aumento no consumo diário de alimentos do grupo amarelo, sendo os pães os mais consumidos e uma redução significativa do consumo diário do grupo vermelho, representando por alimentos ultraprocessados, com destaque para a banha de porco, margarina, alimentos em pó, salgadinhos de pacote e refrigerante como mostra a figura 3.
Figura 3 - Resumo dos achados do estudo
Fonte: Elaborado pelas autoras (2024)
A partir dos resultados obtidos na presente pesquisa foi possível perceber o impacto do aconselhamento nutricional no consumo alimentar e no estado nutricional de mulheres com hipertensão, usuárias do Sistema Único de Saúde.
Mesmo se tratando de indivíduos portadores de HAS, a prevalência de tabagismo encontrada no presente estudo, foi parecida ao do Estudo Longitudinal de Saúde do Adulto (ELSA-Brasil) [23], cuja frequência de adultos que fumam foi de aproximadamente 10%, um percentual baixo, sendo um ponto positivo, visto que os efeitos da nicotina podem ser prejudiciais na descompensação dos níveis pressóricos. Em relação a prática de atividade física e ao consumo de álcool na pesquisa da Vigilância de Fatores de Risco e Proteção para Doenças Crônicas por Inquérito Telefônico (VIGITEL) [24] a variação foi de 32,3 e 44,0% para atividade física no tempo livre equivalente a pelo menos 150 minutos em adultos, valores acima do encontrado no presente estudo e uma variação de 12,8% a 25,2% no consumo de álcool, valores abaixo do encontrado.
Com relação ao EN, os achados do presente estudo corroboram com os achados de Souza et al. [25] que avaliou o perfil antropométrico de pacientes hipertensos frequentadores de uma Clínica de Fisioterapia na cidade de Alfenas-MG, onde 30,8% (n=4) da amostra apresentavam sobrepeso e 61,6% obesidade (n = 8) pelo IMC, antes de receberem qualquer orientação, ainda, nenhum participante do estudo encontrava-se eutrófico. O EN das hipertensas melhorou, significativamente após aconselhamento nutricional no presente estudo, devido à mudança de hábitos alimentares, porém, a prevalência de sobrepeso e obesidade encontrada mesmo após o aconselhamento nutricional, conjetura a realidade brasileira e segue a ascendência preocupante observada no mundo [25].
Os hábitos e estilos de vida adotados atualmente pela sociedade, vem favorecendo a elevação significativa da incidência das DCNT, sobretudo as cardiovasculares, demandando o aperfeiçoamento de habilidades dos profissionais da APS na realização das ações de promoção, prevenção, direcionadas ao seu controle [26]. No que se refere ao tratamento da HAS, a APS, é o ponto chave para a reduzir o número de pessoas hipertensas do território e aumentar o entendimento da população acerca do enfrentamento dela. Segundo Santiago et al. [27] a HAS, é a condição clínica mais habitualmente encontrada neste nível de atenção, isto porque este é o local em que devem ser desenvolvidas ações de promoção, prevenção, educação em saúde e educação permanente, bem como o tratamento e acompanhamento dos casos. Desta forma, quando bem explorado todas as ferramentas que essa porta de entrada pode fornecer à população, é possível evitar os agravos e consequências dos níveis pressóricos descompensados.
No âmbito desta fundamentação, a Educação Alimentar e Nutricional (EAN) é tida como uma estratégia primordial de estímulo às práticas alimentares e estilos de vida saudáveis, conceituada como um componente de atuação multiprofissional, que garante o conhecimento e aprendizado permanentes, sendo ainda um processo gerador de autonomia e participação ativa e informada dos sujeitos [28].
Para o cuidado à pessoa hipertensa, o Ministério da Saúde preconiza a adoção de estratégias, principalmente de caráter educativo e longitudinal como a EAN, com esquemas terapêuticos baseados em consultas individuais, ações equitativas e principalmente a criação de grupos terapêuticos, realizadas pelos diversos profissionais de saúde da APS, não ficando delimitado apenas ao profissional nutricionista. Estas ações podem potencializar a acessibilidade ao tratamento da doença, estimular a participação do usuário no controle dos agravos à saúde, de acordo com a dinâmica organizacional, econômica e geográfica estabelecida pela gestão de saúde dos Municípios [29,30,31].
Partindo desse pressuposto, sabe-se que o aconselhamento nutricional eficaz e individualizado nem sempre está disponível à grande parte da população brasileira, tendo em vista que há defasagem quanto ao número de nutricionistas e a maioria dos profissionais enfrenta uma agenda de atendimentos lotada. O sucesso do tratamento é multidisciplinar e um processo multifatorial que se estabelece por meio da parceria entre o profissional da saúde e o paciente, que envolve aspectos que vão desde o número de atendimentos até o desenvolvimento da consciência para o autocuidado, a empatia e a manutenção da busca pela saúde, capaz de formar atitudes, hábitos e práticas alimentares adequadas e saudáveis [32]. Estratégias baseadas em recomendações ou orientações nutricionais desenvolvidas em grupos dentro da APS, já presentes na literatura apresentam resultados efetivos entre alimentação saudável e melhora do prognostico clínico de pacientes com doenças crônicas, sobretudo os hipertensos [33].
Para isso, o Ministério da Saúde, em parceria com o Hospital do Coração (HCor), e um grupo de pesquisadores de seis Universidades Brasileiras, alinhadas as preconizações do Guia Alimentar para População Brasileira [7] desenvolveram a Dica Br, com o intuito de aumentar o consumo de alimentos regionais com função protetora para a saúde cardiovascular da população, sendo recomendada para indivíduos com sobrepeso ou obesidade e/ou com hipertensão arterial sistêmica controlada, diabetes mellitus tipo 2 compensada, dislipidemias e/ou DCV e servindo como subsídio para a orientação nutricional e dietética realizada pelos profissionais da APS, facilitando a compreensão dos indivíduos e estimulando sua adesão às orientações [9,33,34,35,36].
Os achados neste estudo comprovam a efetividade da adesão das mulheres hipertensas nas orientações com base no aconselhamento nutricional, desenvolvido de forma coletiva e seguindo os princípios da alimentação cardioprotetora. Silva et al. [36] explicam o fato de as mulheres serem mais participativas nas atividades de educação em saúde, pois muitas vezes há resistência masculina à procura por cuidados preventivos e primários à saúde, decorrentes das variáveis culturais que estabelecem uma dissociação entre masculinidade e a fragilidade (doença). Com relação a aplicação da Dica Br houve um aumento do consumo diário de alimentos cardioprotetores (grupo verde), especialmente frutas e hortaliças (40 e 30% respectivamente) após aconselhamento, o que pode ser benéfico no tratamento da HAS. Alguns estudos como de Bricarello et al. [37] que também desenvolveu seu trabalho com pessoas hipertensas, aponta que o consumo diário de frutas e hortaliças é capaz de reduzir a pressão arterial sistólica em 5,5mmHg e a pressão arterial diastólica em 3,0 mmHg. Enfatiza ainda que, orientações nutricionais voltadas para o consumo de alimentos in natura ou minimamente processados deve ser uma estratégia de terapia nutricional para o tratamento da hipertensão arterial na APS.
Pesquisas realizadas no Brasil, pela Universidade Federal do Rio Grande do Sul e na Espanha pela Universidade de Navarra, ainda afirmam que uma alimentação rica em alimentos considerados cardioprotetores, juntamente com a redução do teor de sódio, apresenta uma relação de redução significativa da pressão arterial, justificada pelo controle ou redução gradativa de peso corporal (também evidenciado no presente estudo) e pela ingestão de vitaminas, minerais e fibras [37,38]. Os achados do VIGITEL [24] consideraram o consumo de frutas e hortaliças, regular, quando ambos os alimentos eram consumidos em cinco ou mais dias da semana pelos brasileiros. A frequência de adultos que consomem diariamente frutas e hortaliças variou entre 22,6% e 44,7% nas Capitais do país.
Outro dado importante no presente estudo, foi a redução do consumo diário dos alimentos ultraprocessados, com destaque para a utilização de banha de porco e margarina após o aconselhamento nutricional. Sabe-se que, o processamento dos alimentos influencia na qualidade nutricional da dieta e na saúde humana e que o consumo frequente ou diário de alimentos ultraprocessados tem sido frequentemente associado ao aumento no risco da HAS e da obesidade, por exemplo [38, 39]. Estudos avaliando o impacto dos alimentos ultraprocessados no perfil nutricional da alimentação dos brasileiros identificaram piora na qualidade da alimentação (maior densidade energética; maior quantidade de açúcar livre, gorduras saturadas e trans; e menor densidade de fibras, quantidade de proteínas e aporte de micronutrientes) com o aumento da participação de alimentos ultraprocessados na dieta [39,40]. Sabe-se que a alimentação desempenha papel importante nas DCV, constituindo fator de risco ou de proteção e que a exclusão desses alimentos da dieta é preconizada.
O aconselhamento nutricional também foi efetivo na redução do consumo mensal de ingredientes culinários: sal, açúcar e óleo. No estudo de Machado et al. [41], também realizado com hipertensos nos municípios da área urbana do Brasil, foi constado que intervenções nutricionais e em educação em saúde, foram capazes de promover alterações favoráveis na compra e no consumo médio de alimentos considerados de risco, como o consumo per capita de óleo, açúcar e sal e consequentemente melhoria na qualidade da dieta. No estudo de Mendes et al. [42] também foi constatado que o consumo de sal e gordura de indivíduos acompanhados na APS apresentaram elevados índices referentes à alimentação hipossódica e hipolipídica após orientações voltadas para o autocuidado, desenvolvidas em uma UBS no Estado do Ceará. Todos os usuários acompanhados afirmaram que possuíam uma alimentação com restrição de sal e gordura, após intervenções, demonstrando um melhor resultado em relação a esse quesito, com significância estatística.
Ainda se tratando da mudança de hábitos observadas no presente estudo, o consumo hídrico das hipertensas melhorou significativamente após aconselhamento nutricional. Sabe-se que em diferentes cenários e populações o consumo hídrico não atinge as recomendações, havendo necessidade de políticas públicas de saúde e de nutrição para o aumento da ingestão total de água, o que torna este achado do estudo um fato relevante, demonstrando o impacto positivo da orientação para mudanças de hábitos. Há relação entre a hidratação adequada com a perda de peso corporal, devido a melhora no metabolismo mitocondrial, estando associada também a uma redução no agravo de outras doenças como a HAS [42]. Fato também constatado neste estudo, já que com a melhora do consumo hídrico das hipertensas após aconselhamento houve também a redução de peso e melhora do EN.
Este estudo apresenta algumas limitações como o número reduzido da amostra, o que pode ser explicado pelo fato da baixa adesão dos usuários às atividades de educação em saúde na APS, bem elucidado já na literatura, sendo um reflexo da Pandemia da Covid-19 vivida principalmente nos anos de 2019 e 2020 na qual, o distanciamento social não permitiam que fossem realizadas ações coletivas. Entretanto, apesar do grupo ser pequeno e ter poucos encontros, foi possível observar uma melhorar significativa no consumo alimentar das hipertensas e consequentemente do EN, o que justifica o desenvolvimento de ações de EAN através de atividades coletivas contínuas, participativas e de acordo com a realidade da população atendida, sendo uma estratégia de superar a baixa adesão ao tratamento não medicamentoso da HAS, além de contribuir para mudanças positivas no estilo de vida e que devem ser adotada como prevenção e promoção da saúde da população.
Os resultados obtidos indicaram que a maioria das participantes com HAS modificaram seus hábitos alimentares após aconselhamento nutricional através da Dica Br, com o aumento diário de alimentos cardioprotetores, redução do consumo de alimentos ultraprocessados e dos ingredientes culinários (sal, açúcar e óleo), além de apresentarem melhora significativa do consumo hídrico diário, e com isso, tiveram, por conseguinte uma melhora no seu EN.
Espera-se com este estudo obter subsídios para fortalecer as estratégias educativas fundamentadas nas ações de educação em saúde dentro da APS, enfatizando seu impacto positivo no tratamento de hipertensos. Em virtude dos resultados encontrados, ressalta-se a necessidade de maior articulação entre os profissionais da saúde da APS e os usuários do serviço, visando à promoção da adoção de um estilo de vida saudável e, consequentemente, a prevenção de DCNT nesse grupo já acometido pela HAS e predisposto a outras doenças. Nesse contexto, destaca-se também a importância das políticas de saúde e da consolidação de iniciativas governamentais em ações de educação em saúde, principalmente no que se refere a mudança de hábitos alimentares e estilo de vida.
Conflitos de interesse
Os autores declaram não haver conflitos de interesse de qualquer natureza.
Fontes de financiamento
Financiamento próprio.
Contribuição dos autores
Concepção e desenho da pesquisa: Taques N, Loiola AFF; Coleta de dados: Taques N, Loiola AFF; Análise e interpretação dos dados: Taques N, Loiola AFF, Mazur CE, Schmeider FE; Análise estatística: Mazur CE; Redação do manuscrito: Taques N, Loiola AFF; Revisão crítica do manuscrito quanto ao conteúdo intelectual importante: Taques N, Loiola AFF, Mazur CE, Schmeider FE.
Referências
1. Barroso WLS, Rodrigues CIS, Bortolotto LA, Mota-Gomes MA, Brandão AA et al. Diretrizes Brasileiras de Hipertensão Arterial – 2020. Sociedade Brasileira de Cardiologia. Arq Bras Cardiol. 2021; 116(3):516-658.
2. Brasil. Ministério da Economia. Instituto Brasileiro de Geografia e Estatística. Pesquisa nacional de saúde: 2019: percepção do estado de saúde, estilos de vida, doenças crônicas e saúde bucal: Brasil e grandes regiões. Rio de Janeiro: IBGE; 2020.
3. De Jesus SC, Santana SJ, Freitas RF. Prática consumo alimentar de indivíduos com diabetes e/ou hipertensão atendidos na atenção primária à saúde. RBONE-Rev Bras Obesidade, Nutr e Emagrecimento. 2021; 15 (92): 147-155.
4. Brasil. Ministério da Saúde. Linha de Cuidado do Adulto com Hipertensão Arterial Sistêmica. Brasília; 2021.
5. Unger T, Borghi C, Charchar F, Khan NA, Poulter NR et al. 2020 International Society of Hypertension Global Hypertension Practice Guidelines. Hypertension. 2020; 75:1334–1357.
6. Malta DC, Gonçalves RPF, Machado IE, Freitas MIF, Azeredo C, Szwarcwald CL. Prevalência da hipertensão arterial segundo diferentes critérios diagnósticos. Pesquisa Nacional de Saúde. Rev. bras. epidemiol. 2018; 21 (suppl 1):e180021.
7. Brasil. Ministério da Saúde. Secretaria de Atenção à Saúde. Departamento de Atenção Básica. Guia Alimentar para a População Brasileira / Ministério da Saúde, Secretaria de Atenção à Saúde, Departamento de Atenção Básica. – 2. ed., 1. reimpr. – Brasília: Ministério da Saúde; 2014.
8. Mendonça RD, Pimenta AM, Gea A, de la Fuente-Arrillaga C, Martinez-Gonzalez MA, Lopes AC, Bes-Rastrollo M. Ultraprocessed food consumption and risk of overweight and obesity: the University of Navarra Follow-Up (SUN) cohort study. Am J Clin Nutr. 2016 Nov;104(5):1433-1440.
9. Brasil. Ministério da Saúde. Alimentação Cardioprotetora: manual de orientações para os profissionais de saúde da Atenção Básica. Ministério da Saúde, Hospital do Coração. – Brasília: Ministério da Saúde; 2018.
10. Silva DCG da, Segheto W, Amaral FC da S, Reis N de A, Veloso GSS, Pessoa MC, et al. Consumo de bebidas açucaradas e fatores associados em adultos. Ciênc saúde coletiva. 2019Mar;24(3):899–906.
11. Holben DH, Marshall MB. Position of the Academy of Nutrition and Dietetics: Food Insecurity in the United States. J Acad Nutr Diet. 2017 Dec;117(12):1991-2002.
12. Secretaria de Estado da Saúde do Paraná. Superintendência de Atenção à Saúde. Núcleo Ampliado de Saúde da Família e Atenção Básica (NASF-AB): Diretrizes e Processos. Curitiba: SESA; 2018.
13. Brasil. Ministério da Saúde. Situação de Hipertensão e Diabetes o Brasil. Brasília- DF; 2020.
14. Brasil. Presidência da República. Lei nº 8.234, de 17 de setembro de 1991. Regulamenta a profissão de Nutricionista e determina outras providências. Brasília, DF: Presidência da República; 1991. Disponível em: http://www.planalto.gov.br/ ccivil_03/leis/1989_1994/L8234.htm. Acesso em: 16 de setembro 2022.
15. Brasil. Ministério da Saúde. Secretaria de Atenção à Saúde. Departamento de Atenção Básica. Orientações para avaliação de marcadores de consumo alimentar na Atenção Básica. Brasília, DF: Ministério da Saúde; 2015.
16. Brasil. Cadernos de Atenção Básica: Diretrizes do NASF (Núcleo de Apoio a Saúde da Família). Ministério da Saúde. Secretária de Atenção à Saúde. Departamento de Atenção Básica. Brasília: Ministério da Saúde; 2010.
17. World Health Organization. Physical status the use and interpretation of anthropometrics. Report of a World Health Organization. Expert Committee. WHO. Tech Rep Ser. 1998; 854: 1-452.
18. Ben-Noun L, Laor A. Relationship of neck circumference to cardiovascular risk factors. Obes Res. 2003 Feb;11(2):226-31.
19. Heitmann BL, Frederiksen P. Thigh circumference and risk of heart disease and premature death: prospective cohort study. BMJ. 2009 Sep 3;339:b3292.
20. Ross R, Neeland IJ, Yamashita S, Shai I, Seidell J, Magni P, Santos RD, Arsenault B, Cuevas A, Hu FB, Griffin BA, Zambon A, Barter P, Fruchart JC, Eckel RH, Matsuzawa Y, Després JP. Waist circumference as a vital sign in clinical practice: a Consensus Statement from the IAS and ICCR Working Group on Visceral Obesity. Nat Rev Endocrinol. 2020 Mar;16(3):177-189.
21. Ashwell M, Gibson S. Waist to height ratio is a simple and effective obesity screening tool for cardiovascular risk factors: Analysis of data from the British National Diet And Nutrition Survey of adults aged 19-64 years. Obes Facts. 2009;2(2):97-103.
22. Browning LM, Hsieh SD, Ashwell M. A systematic review of waist-to-height ratio as a screening tool for the prediction of cardiovascular disease and diabetes: 0·5 could be a suitable global boundary value. Nutr Res Rev. 2010 Dec;23(2):247-69.
23. Silva RC, Diniz Mde F, Alvim S, Vidigal PG, Fedeli LM, Barreto SM. Physical Activity and Lipid Profile in the ELSA-Brasil Study. Arq Bras Cardiol. 2016 Jul;107(1):10-9.
24. Brasil. Ministério da Saúde. Secretaria de vigilância em Saúde. Departamento de Vigilância de doenças e agravos não transmissíveis e promoção da saúde. Vigitel Brasil 2020: vigilância de fatores de risco e proteção para doenças crônicas por inquérito telefónico. Brasília: Ministério da Saúde; 2021.
25. De Souza JG, de Oliveira-Faria S, Carvalho Vidigal F. Avaliação da eficácia da dieta DASH em pacientes hipertensos. Res, Society and Develop. 2022; 11(3): e39811326723.
26. Distrito Federal. Secretaria do Estado da Saúde. Manejo da Hipertensão arterial sistêmica e diabetes mellitus na atenção primária a saúde. Portaria SES-DF nº 161 de 21 de fevereiro de 2018, publicada no DODF (37) 23.02.2018.
27. Santiago JC, Moreira TM. Validação de conteúdo de cartilha sobre excesso ponderal para adultos com hipertensão. Rev Bras Enferm. 2019;72(1):95–101.
28. Brasil. Ministério da Saúde. Secretaria de Atenção à Saúde. Departamento de Atenção Básica. Política Nacional de Alimentação e Nutrição. Brasília: Ministério da Saúde; 2013.
29. Brasil. Ministério do Desenvolvimento Social e Combate à Fome. Marco de referência de educação alimentar e nutricional para as políticas públicas. – Brasília, DF: MDS; Secretaria Nacional de Segurança Alimentar e Nutricional; 2012.
30. Silva JVM, Mantovani MF, Kalinke LP, Ulbrich EM. Hypertension and diabetes mellitus program evaluation on user’s view. Rev Bras Enferm. 2015;68(4):626-32.
31. Rêgo A da S, Santos FGT dos, Radovanovic CAT, Arnaldo JGS, Martins MA, Silva M da, Salci MA. Coordenação do cuidado na perspectiva das pessoas com hipertensão na atenção primária à saúde. Medicina. 2022;55(2):e-181413.
32. Brasil. Ministério da Saúde. Secretaria de Atenção à Saúde. Departamento de Atenção Básica. Estratégias para o cuidado da pessoa com doença crônica: hipertensão arterial sistêmica/Ministério da Saúde, Secretaria de Atenção à Saúde, Departamento de Atenção Básica. Brasília: Ministério da Saúde; 2014.
33. Sergio CCM, Kaiser UAO, Cornélio ME, Rodrigues RCM, São-João TM. Autocuidado e risco cardiometabólico em pessoas com hipertensão arterial em seguimento na atenção primária. Saúde e Pesq 2022; 15 (1): 1-14.
34. Weber B, Bersch-Ferreira ÂC, Torreglosa CR, Ross-Fernandes MB, da Silva JT, Galante AP et al. The Brazilian Cardioprotective Nutritional Program to reduce events and risk factors in secondary prevention for cardiovascular disease: study protocol (The BALANCE Program Trial). Am Heart J. 2016 Jan;171(1):73-81.e1-2.
35. Benjamin EJ, Muntner P, Alonso A, Bittencourt MS, Callaway CW et al. American Heart Association Council on Epidemiology and Prevention Statistics Committee and Stroke Statistics Subcommittee. Heart Disease and Stroke Statistics-2019 Update: A Report From the American Heart Association. Circulation. 2019 Mar 5;139(10):e56-e528.
36. Silva EL, Bidu NS, Rodrigues RLA, Damascena RS. Prevalência da adesão terapêutica em pacientes hipertensos sob tratamento medicamentoso em um município do sudoeste baiano. ID on line. Revista psic 2018; 12 (42): 749-758.
37. Bricarello LP, Retondario A, Poltronieri F, Souza A de M, Vasconcelos F de AG de. Abordagem dietética para controle da hipertensão: reflexões sobre adesão e possíveis impactos para a saúde coletiva. Ciênc saúde coletiva [Internet]. 2020;25(4):1421–32.
38. Dias EG, Alves JCS, Santos VCO, Aguiar DKA, Martins PR, Barbosa MC. Lifestyle and hindering factors in controlling hypertension. Rev Enferm UFPI. 2015; 4 (3): 24-9.
39. Mendonça RD, Lopes AC, Pimenta AM, Gea A, Martinez-Gonzalez MA, Bes-Rastrollo M. Ultra-Processed Food Consumption and the Incidence of Hypertension in a Mediterranean Cohort: The Seguimiento Universidad de Navarra Project. Am J Hypertens. 2017 Apr 1;30(4):358-366.
40. Louzada ML da C, Martins APB, Canella DS, Baraldi LG, Levy RB, Claro RM, et al.. Impact of ultra-processed foods on micronutrient content in the Brazilian diet. Rev Saúde Pública. 2015;49.
41. Machado JC, Cotta RMM, Moreira TR, Silva LS da. Análise de três estratégias de educação em saúde para portadores de hipertensão arterial. Ciênc saúde coletiva. 2016Feb;21(2):611–20.
42. Mendes CRS, Souza TLV de, Felipe GF, Lima FET, Miranda MDC. Comparação do autocuidado entre usuários com hipertensão de serviços da atenção à saúde primária e secundária. Acta paul enferm. 2015;28(6):580–6.