Enferm Bras. 2024;23(3):1745-1757
doi:10.62827/eb.v23i3.4014

ARTIGO ORIGINAL

Correlação da relação cintura estatura com outros parâmetros antropométricos associados ao risco cardiometabólico de indivíduos aparentemente saudáveis e com fatores de risco para doença cardiometabólica

Tiago de Oliveira Chaves1, Clóvis de Albuquerque Maurício1, Michel Silva Reis1

1Grupo de Pesquisa em Avaliação e Reabilitação Cardiorrespiratória, Faculdade de Fisioterapia, Universidade Federal do Rio de Janeiro (UFRJ), RJ, Brasil

Recebido em: 03 de junho de 2024; Aceito em: 26 de junho de 2024.

Correspondência: Tiago de Oliveira Chaves, tiagochavesrj@gmail.com

Como citar

Chaves TO, Maurício CA, Reis MS. Correlação da relação cintura estatura com outros parâmetros antropométricos associados ao risco cardiometabólico de indivíduos aparentemente saudáveis e com fatores de risco para doença cardiometabólica. Enferm Bras. 2024;23(3):1745-1757. doi:10.62827/eb.v23i3.4014

Resumo

Introdução: Um dos critérios para estratificação do risco cardiometabólico (RCM) é a relação cintura estatura (RCE). Objetivo: correlacionar a RCE com outros parâmetros antropométricos e da composição corporal em indivíduos aparentemente saudáveis ou com fatores de risco para doença cardiometabólica. Métodos: 193 homens/220 mulheres (18-74 anos). Foi aplicado o Mann Whitney test para as comparações entre RCE-CC e RCE-CAB e os resultados foram apresentados em mediana e intervalo interquartis. Foram realizadas correlações de Pearson para avaliar a correlação entre as variáveis CC, CAB e IMC em relação ao RCE. O nível de significância adotado foi (p<0,05) e as análises realizadas com o software SigmaPlot for Windows versão 11.0, copyright© 2008 System Software, Inc. Resultados: As variáveis RCE-CC e RCE-CAB apresentaram diferença significativa ao serem confrontadas em sua totalidade (p=0,001) com valores para RCE-CC de 0,49(0,45-0,54) e para RCE-CAB de 0,52(0,47-0,58). O mesmo aconteceu nas comparações por subgrupo tanto para o sexo masculino como para o feminino (p=0,001), (p=0,020), respectivamente e os valores apresentados foram para RCE-CC de 0,49(0,45-0,55) e para RCE-CAB de 0,51(0,46-0,56) nos homens e para as mulheres para RCE-CC de 0,49(0,44-0,54) e para RCE-CAB de 0,53(0,48-0,60). As correlações entre a variável RCE em relação ao índice de massa corporal, CC e CAB foram respectivamente; (p<0,0001) (r=0,904), (p<0,0001) (r=0,922), (p<0,0001) (r=0,924). Conclusão: A RCE possui correlação muito forte com o IMC, CC e CAB. Todavia, a CC e CAB não devem ser aplicados à fórmula de RCE com o mesmo objetivo.

Palavras-chave: Síndrome Metabólica; obesidade; exercício físico; estilo de vida; atenção primária à saúde.

Abstract

Correlation of the waist height relationship with other anthropometric parameters associated with the cardiometabolic risk of apparently healthy individuals and with risk factors for cardiometabolic disease

Introduction: One of the criteria for cardiometabolic risk stratification (CRS) is the waist to height ratio (WHtR). Objective: to correlate WHtR with other anthropometric and body composition parameters in apparently healthy individuals or with risk factors for cardiometabolic disease. Methods: 193 men/220 women (18-74 years). The Mann Whitney test was applied for comparisons between WHtR-CC and WHtR-ABC and the results were presented as median and interquartile range. Pearson correlations were performed to assess the correlation between the variables CC, ABC and BMI in relation to WHtR. The level of significance adopted was (p<0.05) and the analyzes performed with the SigmaPlot for Windows software version 11.0, copyright© 2008 System Software, Inc. Results: The variables WHtR-CC and WHtR-ABC showed a significant difference when they were confronted in their entirety (p=0.001) with values for WHtR-CC of 0.49(0.45-0.54) and for WHtR-ABC of 0.52(0.47-0.58). The same happened in the comparisons by subgroup for both males and females (p=0.001), (p=0.020), respectively, and the values presented were for WHtR-CC of 0.49(0.45-0.55) and for WHtR -ABC of 0.51(0.46-0.56) in men and for women for WHtR-CC of 0.49(0.44-0.54) and for WHtR-ABC of 0.53(0.48-0.60). The correlations between the variable WHtR in relation to the BMI, WC and ABC were respectively; (p<0.0001) (r=0.904), (p<0.0001) (r=0.922), (p<0.0001) (r=0.924). Conclusion: WHtR has a very strong correlation with BMI, WC and ABC. However, CC and CAB should not be applied to the WHtR formula for the same purpose.

Keywords: Metabolic syndrome; obesity; physical exercise; lifestyle; primary health care.

Resumen

Correlación del índice cintura-altura con otros parámetros antropométricos asociados al riesgo cardiometabólico en individuos aparentemente sanos con factores de riesgo de enfermedad cardiometabólica

Introducción: Uno de los criterios para estratificar el riesgo cardiometabólico (ICC) es el índice cintura-talla (ICC). Objetivo: correlacionar el ICC con otros parámetros antropométricos y de composición corporal en individuos aparentemente sanos o con factores de riesgo de enfermedad cardiometabólica. Métodos: 193 hombres/220 mujeres (18-74 años). Se aplicó la prueba de Mann Whitney para las comparaciones entre WHtR-CC y WHtR-CAB y los resultados se presentaron como mediana y rango intercuartílico. Se realizaron correlaciones de Pearson para evaluar la correlación entre las variables WC, CAB e IMC en relación con el WHtR. El nivel de significancia adoptado fue (p<0.05) y los análisis se realizaron con el software SigmaPlot para Windows versión 11.0, copyright© 2008 System Software, Inc. Resultados: Las variables RCE-CC y RCE-CAB mostraron diferencia significativa cuando comparados en su totalidad (p=0,001) con valores para WHR-CC de 0,49 (0,45-0,54) y para WHR-CAB de 0,52 (0,47-0,58). Lo mismo ocurrió en las comparaciones por subgrupo tanto para hombres como para mujeres (p=0,001), (p=0,020), respectivamente y los valores presentados fueron para ICT-CC de 0,49 (0,45-0,55) y para ICT-CAB de 0,51. (0,46-0,56) en hombres y para mujeres para ICT-CC de 0,49 (0,44-0,54) y para ICT-CAB de 0,53 (0,48-0,60). Las correlaciones entre la variable RCC con relación al índice de masa corporal, CC y CAB fueron respectivamente; (p<0,0001) (r=0,904), (p<0,0001) (r=0,922), (p<0,0001) (r=0,924). Conclusión: WHtR tiene una correlación muy fuerte con IMC, CC y CAB. Sin embargo, CC y CAB no deben aplicarse a la fórmula CER con el mismo objetivo.

Palabras-clave: Síndrome metabólico; obesidad; ejercicio físico; estilo de vida; atención primaria de salud.

Introdução

A circunferência da cintura (CC) é uma variável associada com o risco cardiometabólico (RCM) e deve ser mensurada entre a última costela e a borda da crista ilíaca, conforme discutido em estudo anterior [1]. Outro parâmetro interessante para a determinação do RCM é a relação cintura estatura (RCE) [2], onde também é utilizada a CC para que seja determinada a razão entre essa variável e a estatura [3,4]. Além da RCE e da CC, o índice de massa corporal [5] também é bastante usual para a avaliação do RCM. Porém, devemos destacar que, para uma avaliação mais crítica e completa, todas essas variáveis deveriam estar presentes em uma anamnese. Desta forma, profissionais que trabalham em unidades básicas de saúde como, por exemplo, enfermeiros(as) ou qualquer outro profissional da saúde, deveriam dominar essas ferramentas de mensuração e determinação do RCM.

Estudos anteriores [6-8] avaliaram e correlacionaram esses parâmetros antropométricos e da composição corporal supracitados. Assim como outros que estudaram também essas variáveis com doenças tais como hipertensão arterial sistêmica (HAS) [9], diabetes mellitus (DM) [10], síndrome metabólica (SM) [11] entre outras doenças cardiovasculares [12]. Nesse sentido, é importante destacar que profissionais de saúde, principalmente os que trabalham no âmbito da saúde pública, deveriam incorporar na anamnese as medidas antropométricas com o intuito de rastrear, avaliar e correlacionar possíveis condições clínicas dos pacientes.

Existem diversas formas e técnicas disponíveis para a avaliação da composição corporal e que são consideradas padrões-ouro como, por exemplo, a densitometria por emissão de raios-X de dupla energia (DEXA) e a pletismografia por deslocamento de ar [13]. Todavia, as medidas antropométricas também fazem inferência do comportamento fisiológico de pacientes de ambos os sexos e estão associadas a alterações do perfil lipídico e diversas outras cardiopatias [14]. Além disso, essas medidas são bastante factíveis de serem realizadas na prática clínica e nos permitem subsídios importantes sobre o perfil corporal do indivíduo avaliado.

Em publicação anterior [4], foi discutido que a CC e a circunferência abdominal (CAB) são medidas antropométricas distintas. Desta forma, é necessário utilizar a CC de forma adequada, no seu ponto ótimo, a fim de classificar o RCM. Desta forma, o objetivo do presente estudo é correlacionar a RCE com outros parâmetros antropométricos e da composição corporal e confrontar a CC e o CAB aplicados à fórmula da RCE, em indivíduos aparentemente saudáveis ou com fatores de risco para doença cardiometabólica.

Métodos

Participantes

Estudo transversal em que foram selecionados indivíduos de ambos os sexos, com idade acima de 18 anos. Os indivíduos selecionados eram estudantes de um centro universitário na cidade do Rio de Janeiro e os indivíduos com fatores de risco para doença cardiometabólica foram selecionados através de um ambulatório de nutrição localizado também na cidade do Rio de Janeiro.

Os critérios de exclusão adotados foram: i) indivíduos que tivessem passado por alguma intervenção cirúrgica que inviabilizasse o processo de mensuração antropométrica; ii) indivíduos que apresentassem índice de massa corporal (IMC) menor do que 18,5 kg/m2; iii) indivíduos que não se disponibilizaram a participar da pesquisa. Vale destacar que os indivíduos aparentemente saudáveis que foram selecionados no estudo, realizavam um mínimo de 150 minutos semanais de exercício físico ou outra modalidade esportiva.

O estudo foi aprovado pelo Comitê de Ética do Hospital Universitário Clementino Fraga Filho conforme resolução número 466/12 de pesquisa com seres humanos (CAAE: 47813415.8.0000.5257). Além disso, é importante ressaltar que todos os participantes leram e assinaram o termo de consentimento livre esclarecido (TCLE) antes de serem incluídos na pesquisa e obtidas as informações.

Perfil antropométrico e padrão de exercício físico

Os dados antropométricos avaliados atenderam aos critérios preconizados pela International Society for the Advancement of Kinanthropometry (ISAK) [15]. As medidas determinadas para a caracterização da amostra e também as que foram selecionadas para análise da correlação foram: estatura, massa corporal, IMC=kg/m2, CC, CAB e RCE. Sendo a CC mensurada por meio do ponto médio entre a crista ilíaca e a última costela e a CAB em cima da cicatriz umbilical [4]. A RCE foi determinada por meio da divisão entre CC e estatura, em centímetros. A mensuração da CC, assim como para todas as variáveis antropométricas e da composição corporal foram realizadas três vezes e o resultado utilizado foi proveniente da média das três medidas obtidas. As medidas de massa corporal e estatura foram obtidas usando, respectivamente, uma balança digital G. tech BALGL 10 com visor em LCD e um estadiômetro de bolso Cescorf. As resoluções das medidas antropométricas foram de 0,1 kg para massa corporal e de 0,1 cm para a estatura e CC.

Para a determinação do perfil de exercício físico, não foi aplicado nenhum questionário. Porém, foi indagado a todos os indivíduos que participaram do estudo, se os mesmos praticavam exercício físico ou alguma modalidade esportiva e qual era a frequência semanal? Todos os participantes praticavam exercício físico ou esporte, com frequência semanal de no mínimo três vezes por semana com duração de pelo menos 60 minutos.

Análise Estatística

Os dados foram submetidos ao teste de normalidade (Kolmogorov-Smirnov test) e teste de homogeneidade (Levene test). Foi aplicado o Mann-Whitney test para as comparações entre RCE – CC e RCE – CAB e os resultados foram apresentados em mediana e intervalo interquartis. Na sequência foram realizadas as correlações de Pearson para avaliar a correlação entre as variáveis CC, CAB e IMC em relação ao RCE e foram classificados em – (0-0,19 – correlação bem fraca; 0,20-0,39 – correlação fraca; 0,40-0,69 – correlação moderada; 0,70-0,89 – correlação forte; 0,90-1 correlação muito forte) [16]. As variáveis de CC e CAB, para ambos os sexos também foram confrontadas, a fim de verificar possíveis divergências quanto ao RCM por subgrupo. Os dados apresentaram comportamento não-paramétrico, portanto, foi aplicado o Wilcoxon test e os resultados foram apresentados em mediana e intervalo interquartis. Foi calculado o delta percentual das variáveis CC e CAB e também da RCE – CC e RCE – CAB, a fim de verificar o percentual de erro para a classificação do RCM através da fórmula – Δ% = (nº Total de Indivíduos – nº Total de Indivíduos com Classificação Incorreta) / nº Total de Indivíduos X 100. O nível de significância adotado foi de p<0,05 e as análises foram realizadas com o software SigmaPlot for Windows versão 11.0, copyright© 2008 System Software, Inc.

Resultados

A Tabela 1 mostra as principais características demográficas, antropométricas e o percentual dos medicamentos utilizados pela amostra analisada.

Tabela 1 - Principais características demográficas, antropométricas e medicamentos utilizados da amostra

Total

Male

Female

N

413

193

220

Idade (anos)

30 (24-37)

29 (24-36)

31 (25-39)

Massa corporal (kg)

73,3 (63,5-85,2)

82,2 (72,0 93,4)

67,0 (60,3-76,1)

Estatura (m)

IMC (kg/m2)

MEDICAÇÕES

BET - n (%)

IECA - n (%)

HIP - n (%)

RI - n (%)

MC - n (%)

Outros - n (%)

PERFIL

Aparent. Saudáveis - n (%)

Obesos - n (%)

Hipertensos - n (%)

Dislipdemia - n (%)

Diabetes Mellitus - n (%)

CC

Baixo Risco - n (%)

Moderado Risco - n (%)

Alto Risco - n (%)

CAB

Baixo Risco - n (%)

Moderado Risco - n (%)

Alto Risco - n (%)

RCE – CC

Menor Risco - n (%)

Maior Risco - n (%)

RCE – CAB

Menor Risco - n (%)

Maior Risco - n (%)

1,67 (1,60-1,75)

26,0 (23,0-29,7)

5 (1,7%)

7 (1,7%)

6 (1,5%)

5 (1,7%)

18 (4,8%)

11 (2,7%)

278 (67,3%)

81 (19,1%)

14 (8,2%)

6 (1,5%)

5 (1,2%)

321 (59,0%)

50 (17,9%)

42 (23,0%)

265 (41,89%)

63 (23,25%)

85 (34,87%)

228 (55,20%)

185 (44,80%)

151 (36,60%)

262 (63,40%)

1,75 (1,71-1,81)

26,4 (24,0-29,6)

5 (2,6%)

6 (3,1%)

0 (0,0%)

3 (1,6%)

3 (1,6%)

6 (3,1%)

130 (72,5%)

39 (20,7%)

11 (6,3%)

0 (0,0%)

3 (1,6%)

130 (65,28%)

28 (16,05%)

35 (18,65%)

119 (60,62%)

27 (15,02%)

47 (24,35%)

107 (55,44%)

86 (44,56%)

78 (40,41%)

115 (59,58%)

1,61 (1,58-1,65)

25,4 (22,7-30,0)

0 (0,0%)

1 (0,5%)

6 (2,7%)

2 (1,0%)

15 (6,8%)

5 (2,3%)

148 (67,3%)

42 (19,1%)

3 (0,9%)

6 (2,7%)

2 (0,9%)

191 (53,65%)

22 (19,55%)

7 (26,81%)

146 (25,45%)

36 (30,45%)

38 (44,10%)

121 (55,0%)

99 (45,0%)

73 (33,20%)

147 (66,80%)

Dados expressos em mediana e intervalos interquartis (variáveis não-paramétricas). *IMC – índice de massa corporal. BET – Betabloqueador. IECA – inibidor da enzima conversora de angiotensina. – HIP Hipercolesterolecemiante. RI – Resistência à insulina. MC – Medicações combinadas. *CAB – circunferência abdominal. *CC – circunferência da cintura. *RCE – relação cintura estatura.

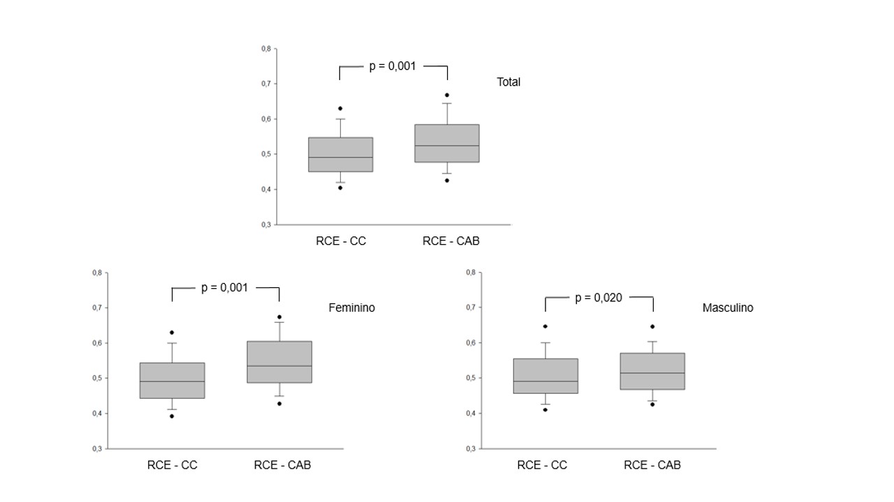
A figura 1 mostra a diferença significativa entre as duas variáveis antropométricas aferidas, CC e CAB, utilizadas para o cálculo da RCE, para o grupo composto por todos os indivíduos do presente estudo e também separado por sexo. Vale destacar que, caso fosse adotado a CAB como medida a ser utilizada na razão que estabelece o ponto de corte para a RCE, possivelmente a classificação do RCM estaria comprometida. Dessa forma, é importante que seja utilizada a CC como critério de estratificação do risco.

Figura 1 - Dados expressos em mediana e intervalo interquartis no Wilcoxon test para as variáveis antropométricas circunferência do abdômen (CAB) e circunferência da cintura (CC) e índice de massa corporal (IMC) para ambos os sexos

Na figura 2 estão disponíveis as correlações de Pearson entre as variáveis antropométricas e da composição corporal para o IMC, CC e CAB dos participantes do presente estudo. É importante destacar que todas as variáveis apresentaram correlação com classificação muito forte e com valor de p>0,0001 para todos os parâmetros do RCM avaliados. Esses resultados reforçam que uma avaliação de cunho prático e que objetiva inferir possíveis anormalidades clínicas, deve ser composta pelo maior número de informações, a fim de classificar e estratificar o RCM. Além disso, uma anamnese com um maior número de parâmetros, favoreceria uma melhor interpretação do estado clínico do paciente e isso facilitaria a determinação de uma possível conduta terapêutica através do tratamento farmacológico e não-farmacológico.

Figura 2 - Correlação de Pearson para as variáveis antropométricas de todos os voluntários referente à circunferência da cintura (CC) e circunferência abdominal (CAB) para ambos os sexos e índice de massa corporal (IMC)

Por fim, a figura 3 apresentou o percentual de discordância entre as variáveis que representam as razões antropométricas representadas pela divisão da cintura pela estatura RCE – CC e pela divisão do abdômen pela estatura RCE – CAB para ambos em centímetros e para os dois sexos. O objetivo foi avaliar qual o impacto na classificação do RCM caso o avaliador adotasse a CAB ao invés da CC para a aplicação do cálculo matemático que divide a variável antropométrica que destaca a adiposidade central pela estatura.

Figura 3 - Dados do delta percentual das variáveis razão cintura estatura pelo parâmetro da cintura RCE – CC e razão cintura estatura pelo parâmetro do abdômen RCE – CAB em ambos os sexos. Cálculo realizado a partir da fórmula Δ% = (nº Total de Indivíduos – nº Total de Indivíduos com Classificação Incorreta) / nº Total de Indivíduos X 100

Discussão

Os principais achados do estudo sugerem que tanto a CC, CAB e IMC são parâmetros que possuem correlação muito forte com a RCE. Todavia, ao serem confrontadas as medidas de CC e CAB, ficou evidente que elas divergem quando confrontadas e a classificação do RCM em ambos os sexos poderia estar comprometido. Além disso, quando esses distintos pontos anatômicos foram submetidos ao cálculo matemático da razão ou relação que divide a CC pela estatura ambos em centímetros, também foi apresentado diferença significativa nos indivíduos de forma global, assim como quando foi comparado separados por sexo.

Os resultados também sugerem e reforçam que a CAB não deve ser utilizada como a CC como critério de determinação do RCM, assim como defendido por diretrizes nacionais [17,18]. Vale ressaltar que homens e mulheres também apresentam componentes estruturais do assoalho pélvicos diferentes de acordo com pesquisa anterior [19]. Neste estudo, foram avaliados 1801 indivíduos de ambos os sexos e através de uma análise de regressão multivariada, ficou evidente que fatores tais como: sexo, raça e idade; poderiam influenciar diretamente nas modificações da forma estrutural pélvica, impactando diretamente em sua anatomia. Além disso, estudos internacionais utilizam a CC como parâmetro de determinação para o RCM [1-15].

O percentual do risco apresentado na tabela 1, também reforçou que a classificação do RCM, caso fosse adotada a CAB estaríamos superestimando o nível de risco apresentado pelo paciente. Além disso, os dados apresentados na comparação entre os distintos pontos anatômicos em ambos os sexos, também reforça que devemos repensar no ponto anatômico que deveria ser utilizado durante uma avaliação, que possui o interesse de estratificar o RCM. Pois a escolha pela CAB ao invés da CC teria um impacto direto no resultado da razão matemática proposta pela RCE que já foi objeto de estudos anteriores [20-25].

Dessa forma, seria essencial alinharmos qual seria o melhor ponto anatômico a fim de mensurar, avaliar, analisar e determinar o risco de doenças associadas ao metabolismo e ao sistema cardiovascular como, por exemplo, em indivíduos portadores de SM [11]. Desta forma, quando se aplicou as diferentes medidas na fórmula para a obtenção do RCE, os resultados apresentados apresentaram diferenças significativas que poderiam prejudicar uma avaliação no que diz respeito à acurácia e precisão. Tal fato poderia implicar diretamente no processo de avaliação, seja ela para complementar o diagnóstico clínico ou para a estratificação do RCM.

Em estudo anterior [26] foram comparadas três medidas para CC em homens, dos quais foram determinadas em três distintos pontos anatômicos da seguinte forma; (i) ponto mais estreito da região abdominal, ou seja, próximo a 1 cm da última costela; (ii) ponto médio entre a última costela e a borda da crista ilíaca; (iii) linha umbilical, ou seja, em cima do umbigo. O objetivo desse estudo transversal foi avaliar em 300 homens de meia idade da região sudeste, qual desses pontos anatômicos supracitados poderia refletir maior RCM. Os resultados apresentados sugeriram que a CAB foi o melhor preditor de sobrepeso, obesidade e gordura visceral. Todavia, foram avaliados apenas homens e isso caracterizaria uma limitação importante, uma vez que já é sabido que mulheres apresentam estrutura pélvica diferente em relação aos homens [19].

Em outro estudo publicado por Wang e cols [27], o qual foram avaliados distintos pontos anatômicos da seguinte forma: (1) imediatamente abaixo da última costela; (2) no menor ponto de circunferência; (3) no ponto médio entre a última costela e a crista ilíaca; e (4) imediatamente acima da crista ilíaca. Após a comparação das diversas medidas antropométricas, foi encontrada diferença significativa apenas nas mulheres, de acordo com a seguinte ordem: medida 2 <1 <3 <4. Neste contexto e de forma similar no presente estudo, foram encontradas discrepâncias nos distintos pontos anatômicos mensurados nos indivíduos de ambos os sexos.

A gordura central é tema de estudos anteriores [28,29], que avaliaram o RCM e ainda vêm sendo estudado em estudos mais recentes [30,31]. Neste contexto, sugere-se a importância da padronização do local da medida. Caso isso não ocorra seria importante estudos originais que pudessem viabilizar um novo ponto de corte para a CAB. Até porque a CC já está disponível e é amplamente utilizada por estudos internacionais [32-36] e a obtenção dessa medida antropométrica é realizada entre a última costela e a borda da crista ilíaca, conforme discutido em estudo anterior [4].

Ademais, é importante destacar os aspectos positivos e também as limitações do presente estudo. Os pontos positivos que merecem destaque são: as avaliações foram realizadas por apenas um avaliador que possui experiência e bastante prática no método e em avaliação física. Além disso, o critério de determinação dos pontos anatômicos seguiram as recomendações da ISAK [15]. Todavia, o presente estudo também apresentou algumas limitações que merecem destaque. Não tiveram participantes com outras patologias ou perfis corporais distintos dos apresentados no estudo. Não foi possível avaliar a gordura presente na região central com o DEXA e possíveis associações com as medidas da CC e da CAB em relação ao RCM. Não foi possível uma análise mais robusta das diferenças estruturais da pelve em ambos os sexos e também em variáveis como, por exemplo, idade.

Conclusão

A RCE possui correlação muito forte com o índice de massa corporal, CC e CAB. Todavia, a CC e CAB não devem ser aplicados à fórmula de RCE com o mesmo objetivo. Novas pesquisas se fazem necessárias, a fim de verificar se o mesmo comportamento obtido nos resultados apresentados no presente contexto, ocorrerão em populações e comorbidades distintas.

Fontes de financiamento

Financiamento próprio.

Conflitos de interesse

Os autores declaram não haver conflitos de interesse de qualquer natureza.

Contribuição dos autores

Concepção e desenho do estudo: Chaves TO, Mauricio CA, Reis MS; Análise e interpretação dos dados: Chaves TO, Mauricio CA, Reis MS; Análise estatística e redação do manuscrito: Chaves TO, Mauricio CA, Reis MS; Revisão crítica do manuscrito quanto ao conteúdo intelectual importante: Chaves TO, Mauricio CA, Reis MS.

Referências

1. Chaves TO, Reis MS. Abdominal Circumference or Waist Circumference? IJCS. 2019;32(3):290-2. doi: 10.5935/2359-4802.20180080.

2. Mbanya VN, Kengne AP, Mbanya JC, Akhtar H. Body mass index, waist circumference, waist-hip-ratio and waist-height-ratio: which is the better discriminator of prevalent screen-detected diabetes in Cameroonian population? Diabetes Res Clin Pract. 2015;108(1):23-30. doi: 10.1016/j.diabres.2015.01.032.

3. Masoud M, Khajeh M. Comparison of anthropometric indices (body mass index, waist circumference, waist to hip ratio and waist to height ratio) in predicting risk of type II diabetes in the population of Yazd, Iran. Diabetes Metab Syndr. 2018;12(5):677-82. doi: 10.1016/j.dsx.2018.04.026.

4. Correa MM, Thumé E, Oliveira ER, Tomasi E. Performance of the waist-to-height ratio in identifying obesity and predicting non-communicable diseases in the elderly population: A systematic literature review. Arch Gerontol Geriatr. 2016;65:174-82. doi: 10.1016/j.archger.2016.03.021.

5. Lee DH, Keum N, Hu FB, Orav EJ, Rim EB, Willett WC, et al. Comparison of the association of predicted fat mass, body mass index, and other obesity indicators with type 2 diabetes risk: two large prospective studies in US men and women. European journal of epidemiology. 2018;33(11): 1113-23. doi: 10.1007/s10654-018-0433-5.

6. Ross R, Neeland IJ, Yamashita S, Shai I, Seidell J, Magni P, et al. Waist circumference as a vital sign in clinical practice: a Consensus Statement from the IAS and ICCR Working Group on Visceral Obesity. Nat Rev Endocrinol . 2020; 16(3):177-89. doi: 10.1038/s41574-019-0310-7.

7. Munckhof IC, Holewijn S, Rutten JG, Rutten JH. Sex differences in fat distribution influence the association between BMI and arterial stiffness. J Hypertens. 2017; 35(6):1219-25. doi: 10.1097/HJH.0000000000001297.

8. Dhana K, Kavousi M, Ikram MA, Tiemeier HW, Hofman A, Franco OH. Body shape index in comparison with other anthropometric measures in prediction of total and cause-specific mortality. J Epidemiol Community Health. 2016;70(1):90-6. doi: 10.1136/jech-2014-205257.

9. Feng RN, Zhao C, Wang C, Niu Y, Li K, Guo F, Li S, et al. BMI is strongly associated with hypertension, and waist circumference is strongly associated with type 2 diabetes and dyslipidemia, in northern Chinese adults. J Epidemiol . 2012;22(4):317-23. doi: 10.2188/jea.je20110120.

10. Rocha DR, Jorge AR, Braulio VB, Arbex AK, Marcadenti A. Visceral Adiposity Measurements, Metabolic and Inflammatory Profi le in Obese Patients with and Without Type 2 Diabetes Mellitus: A Crosssectional Analysis. Curr Diabetes Rev. 2017;13(1):11-8. doi: 10.2174/1573399812666151015115924.

11. Krakauer NY, Krakauer CJ. Untangling Waist Circumference and Hip Circumference from Body Mass Index with a Body Shape Index, Hip Index, and Anthropometric Risk Indicator. Metab Syndr Relat Disord . 2018;16(4):160-5. doi: 10.1089/met.2017.0166.

12. Sciomer S, Moscucci F, Salvioni E, Marchese G, Bussotti M, Corrà U, et al. Role of gender, age and BMI in prognosis of heart failure. Eur J Prev Cardiol. 2020;27(2_suppl):46-51. Doi: 10.1177/2047487320961980.

13. Xinyan BI, Loo YT, Henry CJ. Body fat measurements in Singaporean adults using four methods. Nutrients. 2018;10(3):303. doi: 10.3390/nu10030303.

14. Li R, Shi L, Jia J, Li Y, Yang Q, Ruan Y, et al. Differentiating the associations of waist circumference and body mass index with cardiovascular disease risk in a Chinese population. Asia-Pacific Journal of Public Health. 2015;27(2):457-67. doi: 10.1177/1010539512465306.

15. Stewart AD, Marfell-Jones MJ, Ridder JH. International standards for anthropometric assessment. Lower Hutt, New Zealand: International Society for the Advancement of Kinanthropometry - ISAK, 2011.

16. Hopkins WG. Measures of reliability in sports medicine and science. Sports Med. 2000;30(1);1-15. doi: 10.2165/00007256-200030010-00001.

17. Mancini MC. Associação Brasileira para o Estudo da Obesidade e da Síndrome Metabólica. Diretrizes brasileiras de obesidade 2016/ABESO - Associação Brasileira para o Estudo da Obesidade e da Síndrome Metabólica. - 4.ed. - São Paulo, SP, p:1-188.

18. Malachias MB, Souza WK, Plavnik FL, Rodrigues CI, Brandão AA, Neves MF, et al. Sociedade Brasileira de Cardiologia. 7ª Diretriz Brasileira de Hipertensão Arterial: Capítulo 14–Crise Hipertensiva. Arq Bras Cardiol. 2016;107(3):1-103.

19. Merrill RK, Kim JS, Leven DM, Kim JH, Meaike JJ, Bronheim RS, et al. Differences in fundamental sagittal pelvic parameters based on age, sex, and race. Clin Spine Surg. 2018;31(2):109-14. doi: 10.1097/BSD.0000000000000555.

20. Correa MM, Facchini LA, Thumé E, Oliveira ER, Tomasi E. The ability of waist-to-height ratio to identify health risk. Rev Saude Publica. 2019;53:66. doi: 10.11606/s1518-8787.2019053000895

21. Ashwell M, Gibson S. Waist-to-height ratio as an indicator of ‘early health risk’: simpler and more predictive than using a ‘matrix’ based on BMI and waist circumference. BMJ Open. 2016;63(3):e010159. doi: 10.1136/bmjopen-2015-010159.

22. Ashwell M, Gunn P, Gibson S. Waist-to-height ratio is a better screening tool than waist circumference and BMI for adult cardiometabolic risk factors: systematic review and meta-analysis. Obes Rev. 2012;13(3):275-86. doi: 10.1111/j.1467-789X.2011.00952.x.

23. Cai L, Liu A, Zhang Y, Wang P. Waist-to-height ratio and cardiovascular risk factors among Chinese adults in Beijing. PLoS One. 2013;8(7):e69298. doi: 10.1371/journal.pone.0069298.

24. Christofaro DG, Farah BQ, Vanderlei LC, Delfino LD, Tebar WR, Barros MV, et al. Analysis of different anthropometric indicators in the detection of high blood pressure in school adolescents: a cross-sectional study with 8295 adolescents. Braz J Phys Ther. 2018;22(1):49-54. doi: 10.1016/j.bjpt.2017.10.007.

25. Caminha TC, Ferreira HS, Costa NS, Nakano RP, Carvalho RE, Xavier AF, et al. Waist-to-height ratio is the best anthropometric predictor of hypertension: A population-based study with women from a state of northeast of Brazil. Medicine (Baltimore). 2017;96(2):e5874. doi: 10.1097/MD.0000000000005874.

26. Oliveira A, Cocate PG, Hermsdorff HH, Bressan J, Silva MF, Rodrigues JA, et al. Waist circumference measures: cutoff analyses to detect obesity and cardiometabolic risk factors in a Southeast Brazilian middle-aged men population-a cross-sectional study. Lipids health Dis. 2014;13(141):1-8. doi: 10.1186/1476-511X-13-141

27. Wang J, Thornton JC, Bari S, Williamson B, Gallagher D, Heymsfield SB, et al. Comparisons of waist circumferences measured at 4 sites. Am J Clin Nutr. 2003;77(2):379-84. doi: 10.1093/ajcn/77.2.379.

28. Saklayen MG. The Global Epidemic of the Metabolic Syndrome. Current Hypertension Reports. 2018;20(2):1-8. doi: 10.1007/s11906-018-0812-z.

29. Dong-Chul S, Siyoung C, Mohammad RT. Is waist circumference ≥102/88cm better than body mass index ≥30 to predict hypertension and diabetes development regardless of gender, age group, and race/ethnicity? Meta-analysis. Prev Med. 2017;100(108):100-8. doi: 10.1016/j.ypmed.2017.01.012.

30. Perona JS, Rio-Valle JS, Ramírez-Vélez R, Correa-Rodríguez M, Fernández-Aparicio A, González-Jiménez E. Waist Circumference and Abdominal Volume Index Are the Strongest Anthropometric Discriminators of Metabolic Syndrome in Spanish Adolescents. Eur J Clin Invest. 2019;49(3):e13060. doi: 10.1111/eci.13060.

31. Sareban HM, Mirhosseini SJ, Mirzaei M, Namayandeh SM, Beiki O, Gannar F, et al. The Most Important Predictors of Metabolic Syndrome Persistence after 10-year Follow-Up: YHHP Study. Int Prev Med. 2020;27(33):11-33. doi: 10.4103/ijpvm.IJPVM_215_18

32. Chertow GM, Appel GB, Block GA, Chin MP, Coyne DW, Goldsberry A, et al. Effects of Bardoxolone Methyl on Body Weight, Waist Circumference and Glycemic Control in Obese Patients With Type 2 Diabetes Mellitus and Stage 4 Chronic Kidney Disease. J Diabetes Complications. 2018;32(12):1113-7. doi: 10.1016/j.jdiacomp.2018.09.005.

33. Correa-Burrows P, Blanco E, Gahagan S, Burrows R. Cardiometabolic health in adolescence and its association with educational outcomes. J Epidemiol Community Health. 2019;73(12):1071-7. doi: 10.1136/jech-2019-212256.

34. Buchmann N, Spira D, König M, Demuth I, Steinhagen-Thiessen E. Frailty and the Metabolic Syndrome - Results of the Berlin Aging Study II (BASE-II). J Frailty Aging. 2019;8(4):169-75. doi: 10.14283/jfa.2019.15.

35. Katsa ME, Loannidis A, Sachlas A, Dimopoulos L, Stylianos Chatzipanagiotou S, Gil AP. The roles of triglyceride/high-density lipoprotein cholesterol ratio and uric acid as predisposing factors for metabolic syndrome in healthy children. Ann Pediatr Endocrinol Metab. 2019;24(3):172-9. doi: 10.6065/apem.2019.24.3.172.

36. Malik MS, Qayyum W, Farooq A, Waqas A, Sukhera AB, Khalid MA, et al. Dietary Patterns, Exercise, and the Metabolic Syndrome Among Young People in Urban Pakistan (Lahore). 2020;18(1):56-64. doi: 10.1089/met.2019.0021.